Вид работы: Контрольная работа
Предмет: Линейная алгебра
или напишите нам прямо сейчас:
⚠️ Пожалуйста, пишите в MAX или заполните форму выше.
В России Telegram и WhatsApp блокируют - сообщения могут не дойти.
Вариант 1
Задание 1. Для каждого из четырех выражений 1) – 4) определить, входит ли оно в состав определителя порядка 8 и если да, то с каким знаком.
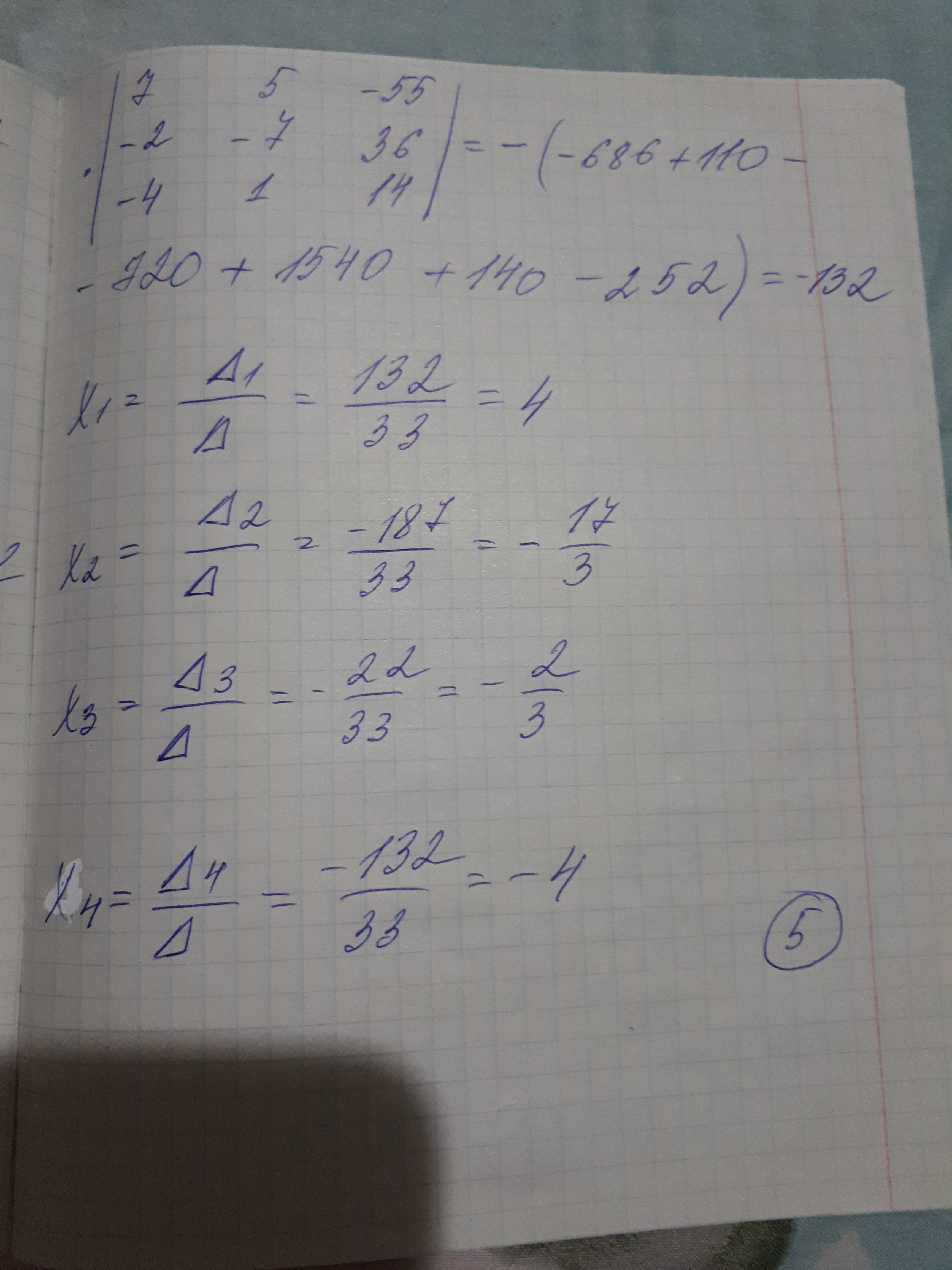
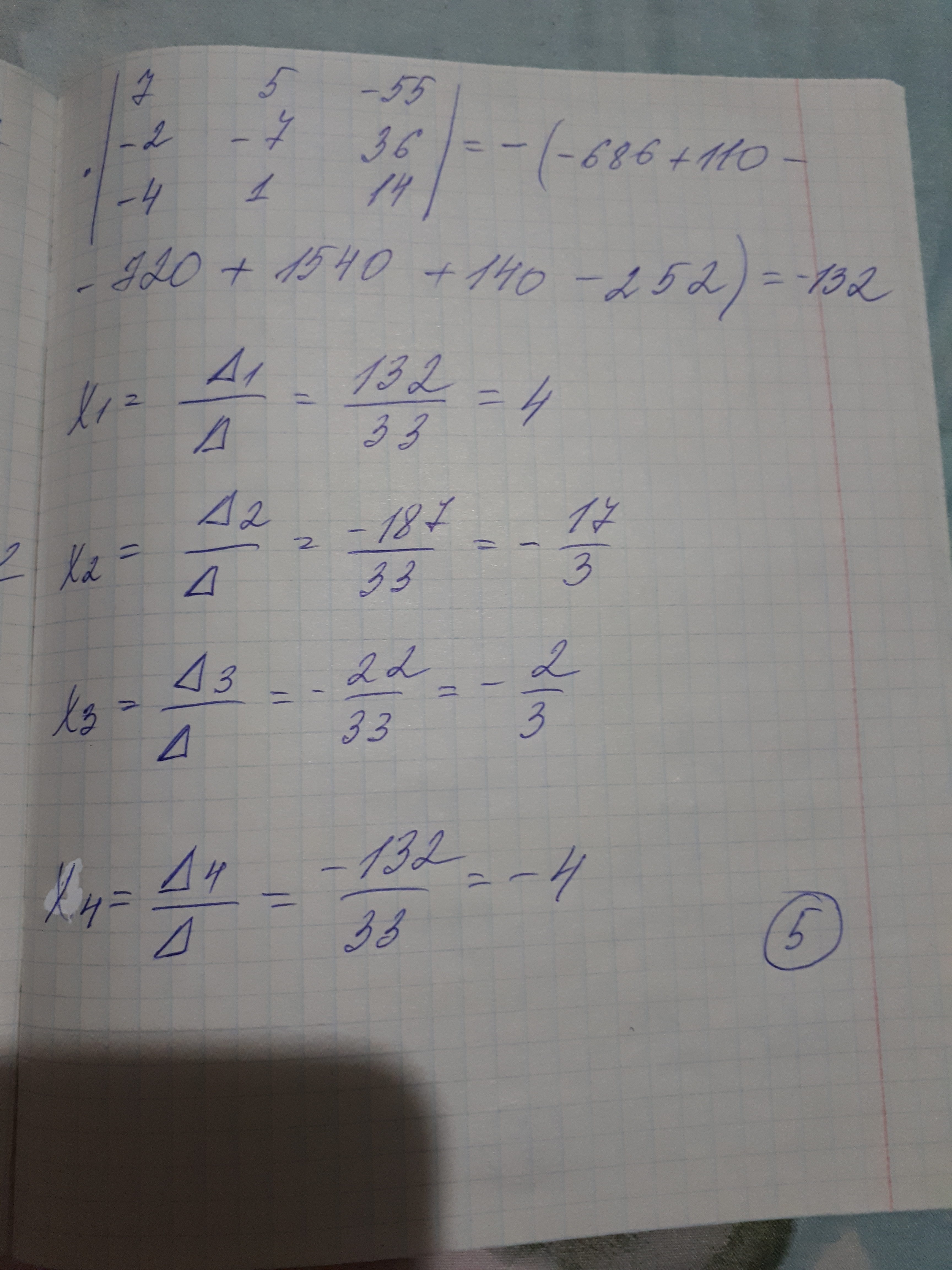
Задание 2. Решить методом Крамера и матричным методом систему уравнений (1).
Задание 3. Решить матричным методом систему уравнений (2).
Задание 4. Решить методом Гаусса и матричным методом систему уравнений (3).
Данные для варианта № 1
1) , 2) ,
3) , 4) .
(1) (2 ) ( 3 )
Задание 5. Все векторы заданы в стандартном базисе и . Определить, какие координаты будет иметь вектор в базисе , .
Задание 6. Доказать линейную зависимость векторов:
= (1, 1, 1), = (1, 2, 3), = (2, 3, 4).
Задание 7. Выяснить, является ли следующая система векторов линейно зависимой:
а) ;
б) ;
в) = (1, 1, 1,1), = (1, -1, 1, -1), = (2, 3, 1,4), = (2, 1, 1, 3).
Задание 8. Найти линейную комбинацию 5 — 3 следующих векторов: = ( 2, 1, 0, -2), = (-3, 1, 2, 3), = (4, 3, -7, 1).
Задание 9. Показать, что следующие системы векторов линейно зависимы и найти соответствующую каждой системе зависимость.
= (1, 2, 3, 4), = (4, 3, 2, 1), = (5, 6, 5,6), = (0, 1, 0, 1).
Задание 10. В линейном пространстве вектор = (2, 27, -3 , 21) разложить по базису = (0, 1, -1, 2), = (1, 2, -3, 1 ), = (0, 0, 0, 1), = (-2, 0, 1, -1).
__________________________________________________________________
Тема ИДЗ №3 по линейной алгебре
Тема: Обратная матрица и СЛУ. Способы вычисления обратной матрицы
Вариант 2
Задание 1. Для каждого из четырех выражений 1) – 4) определить, входит ли оно в состав определителя порядка 8 и если да, то с каким знаком.
Задание 2. Решить методом Крамера и матричным методом систему уравнений (1).
Задание 3. Решить матричным методом систему уравнений (2).
Задание 4. Решить методом Гаусса и матричным методом систему уравнений (3).
Данные для варианта № 2
1) , 2) ,
3) , 4) .
(1) (2) (3)
Задание 5. Все векторы заданы в стандартном базисе , , . Определить, какие координаты будет иметь вектор в базисе , , .
Задание 6. Выяснить, является ли следующая система векторов линейно независимой:
= (1, 2, 3), = (2, 5, 7), = (3, 7, 10).
Задание 7. Выяснить, является ли следующая система векторов линейно зависимой:
а) ;
б) ;
в) = (1, 2, 3, 4), = (4, 1, 2, 3), = (3, 4, 1,2), = (1, -1, -1, -1).
Задание 8. Найти линейную комбинацию 3 + 4 следующих векторов: = ( 0, 4, -3, 1), = (2, 1, -4, 5), = (5, -2, 3, 1).
Задание 9. Показать, что следующие системы векторов линейно зависимы и найти соответствующую каждой системе зависимость.
= (1, -1, -1, -1), = (1, 0, 1,0), = (1, 0, 2, 0), = (0, 3, 1, 3).
Задание 10. В линейном пространстве вектор = (-7, -16, 1 , 11) разложить по базису = (0, 1, -1, 2), = (1, 2, -3, 1 ), = (0, 0, 0, 1), = (-2, 0, 1, -1).
__________________________________________________________________
Тема ИДЗ №3 по линейной алгебре
Тема: Обратная матрица и СЛУ. Способы вычисления обратной матрицы
Вариант 3
Задание 1. Для каждого из четырех выражений 1) – 4) определить, входит ли оно в состав определителя порядка 8 и если да, то с каким знаком.
Задание 2. Решить методом Крамера и матричным методом систему уравнений (1).
Задание 3. Решить матричным методом систему уравнений (2).
Задание 4. Решить методом Гаусса и матричным методом систему уравнений (3).
Данные для варианта № 3
1) , 2) ,
3) , 4) .
(1) (2) (3)
Задание 5. Все векторы заданы в стандартном базисе , , . Определить, какие координаты будет иметь вектор в базисе , , .
Задание 6. Выяснить, является ли следующая система векторов линейно независимой:
= (1, 2, 3), = (2, 5, 7), = (3, 7, 10).
Задание 7. Выяснить, является ли следующая система векторов линейно зависимой:
а) ;
б) ;
в) = (1, 2, 3, 4), = (4, 1, 2, 3), = (3, 4, 1,2), = (1, -1, -1, -1).
Задание 8. Найти линейную комбинацию 3 + 4 следующих векторов: = ( 0, 4, -3, 1), = (2, 1, -4, 5), = (5, -2, 3, 1).
Задание 9. Показать, что следующие системы векторов линейно зависимы и найти соответствующую каждой системе зависимость.
= (1, -1, -1, -1), = (1, 0, 1,0), = (1, 0, 2, 0), = (0, 3, 1, 3).
Задание 10. В линейном пространстве вектор = (-7, -16, 1 , 11) разложить по базису = (0, 1, -1, 2), = (1, 2, -3, 1 ), = (0, 0, 0, 1), = (-2, 0, 1, -1).
__________________________________________________________________
Тема ИДЗ №3 по линейной алгебре
Тема: Обратная матрица и СЛУ. Способы вычисления обратной матрицы
Вариант 4
Задание 1. Для каждого из четырех выражений 1) – 4) определить, входит ли оно в состав определителя порядка 8 и если да, то с каким знаком.
Задание 2. Решить методом Крамера и матричным методом систему уравнений (1).
Задание 3. Решить матричным методом систему уравнений (2).
Задание 4. Решить методом Гаусса и матричным методом систему уравнений (3).
Прикрепленные файлы:
или напишите нам прямо сейчас:
⚠️ Пожалуйста, пишите в MAX или заполните форму выше.
В России Telegram и WhatsApp блокируют - сообщения могут не дойти.
Прикрепленные файлы: |
|
|---|---|
|
Администрация сайта не рекомендует использовать бесплатные работы для сдачи преподавателю. Эти работы могут не пройти проверку на уникальность. Узнайте стоимость уникальной работы, заполните форму ниже: Узнать стоимость |
|
Скачать файлы: |
|
|
|






