или напишите нам прямо сейчас:
⚠️ Пожалуйста, пишите в MAX или заполните форму выше.
В России Telegram и WhatsApp блокируют - сообщения могут не дойти.
Страницы 1 2
2. Проектная часть
или напишите нам прямо сейчас:
⚠️ Пожалуйста, пишите в MAX или заполните форму выше.
В России Telegram и WhatsApp блокируют - сообщения могут не дойти.
2.1 Разработка проекта автоматизации
2.1.1 Этапы жизненного цикла проекта автоматизации
В процессе разработки информационной системы в рамках проекта автоматизации технологии работы в области управления заявками на обслуживание проведён выбор стандарта жизненного цикла, составлен план выполнения работ в соответствии с выбранной моделью. Разработка программных решений предполагает необходимость планирования разработки, определения задач, которые необходимо включить в разработку программного решения, определения списка пользователей, информационные потребности которых связаны с проведением программной реализации системы. Далее определяются функциональные и нефункциональные требования к системе, выбирается инструментарий разработки, проводится программная реализация задач и тестирование программных продуктов.
В качестве стандарт жизненного цикла выбран ГОСТ Р ИСО/МЭК 12207-2010.
Планирование ИТ-проекта осуществляется в рамках определённых моделей жизненного цикла, которые разработаны по результатам обобщения опыта управления разработками.
Каскадная модель жизненного цикла предполагает разбиение ИТ-проекта на стадии, для каждой из которых определены критерии завершенности. Переход к последующей стадии осуществляется при условии выполнения всех условий завершения текущей стадии с проведением тестирования. Таким образом предполагается сокращение продолжительности стадии отладки на этапе передачи программного продукта заказчику, но вероятно увеличение длительности всего проекта и неэффективная загрузка специалистов, так как в момент устранения проблем на текущей стадии остальные члены группы не задействованы в разработке проекта [14].
Итерационная модель предполагает пошаговое тестирование функциональности системы при внесении в нее изменений, что также увеличивает длительность всего проекта, но на выходе компания получает ИТ-решение, полностью адаптированное и готовое к установке в условиях ИТ-инфраструктуры компании-заказчика.
При использовании спиральной модели рабочие группы выполняют работы, которые возможно реализовать на текущей стадии реализации программного продукта, что обеспечивает максимальную эффективность использования рабочего времени ИТ-специалистов, но увеличивает вероятность ошибок, связанных с интеграцией разрабатываемых модулей.
В рамках данного проекта при планировании работ выбрана спиральная модель жизненного цикла.
Помимо стандарта жизненного цикла системы необходимо провести выбор стратегии внедрения системы.
Порядок внедрения информационной системы должен учитывать специфику задач, которые реализованы в программном продукте, а также специфику организации деятельности специалистов, на рабочие места которых устанавливается созданная система.
Внедрение нового программного продукта возможно через одновременное использование существующего и внедряемого ПО, через одномоментное внедрение нового ПО и внедрение через использование периода тестовой эксплуатации [24].
При внедрении разработанного ПО в режиме параллельной эксплуатации осуществляется одновременная работа в существующей и внедряемой системе, проводится сверка корректности формирования отчётности, времени реакции системы на пользовательские команды, наличие ошибок, связанных с особенностями ИТ-инфраструктуры. При этом работа специалистов не приостанавливается, при выявлении неточностей разработчики проводят корректировку функционала с постепенным доведением внедряемой системы до работоспособного состояния. Данный способ является затратным по времени, так как отсутствует стимул разработчиков к оперативности при устранении аварийных ситуаций (вследствие того, что работа компании не приостановлена), также отсутствует заинтересованность специалистов в полноценном использовании тестируемого ПО.
При одномоментном переходе к использованию новой технологии возможны простои рабочих мест специалистов при выявлении ошибок во внедряемой системе, т.к. использование ПО невозможно до устранения неточностей. Таким образом, при значительном количестве ошибок возможны убытки компании вследствие невозможности исполнения обязанностей специалистами. Для использования данной стратегии необходимо просчитывать риски, учитывать также необходимость адаптации сотрудников к новой технологии, вероятность временного снижения производительности.
При использовании режима опытной эксплуатации создается рабочая группа сотрудников, на рабочие места которых устанавливается новая программная система, ограничивается срок опытной эксплуатации, в течение которого рабочая группа совместно с разработчиками проводит проверку режимов внедряемого ПО, устраняются ошибки, тестируется корректность реализуемых алгоритмов. При этом работа компании не приостанавливается, временно увеличивается нагрузка на специалистов, использующих существующую технологию работы. При доведении системы до работоспособного состояния проводится ее развертывание на рабочих местах всех пользователей, организуются технические учебы.
В рамках данной работы в качестве стратегии внедрения выбрана опытная эксплуатация.
При разработке проекта автоматизации технологии работы с обращениями пользователей был составлен календарный план внедрения автоматизированной информационной системы, представленный в таблице 7.
Таблица 7
Хронологический порядок внедрения программного продукта в технологию работы
| Этап | Продол-жительность | Дата начала | Дата завершения | Привлеченные сотрудники |
| Этап анализа задач | 5 дн. | Чт 10.08.2023 | Ср 16.08.2023 | Программист |
| Анализ технологии работы с обращениями пользователей | 2 дн. | Чт 10.08.2023 | Пт 11.08.2023 | Программист; Специалист службы поддержки |
| Определение недостатков существующей технологии | 2 дн. | Пн 14.08.2023 | Вт 15.08.2023 | Экономист; Программист |
| Определение задач, требующих использования ИТ | 1 дн. | Ср 16.08.2023 | Ср 16.08.2023 | Экономист; Программист |
| Утверждение ТЗ на разработку системы | 3 дн. | Чт 17.08.2023 | Пн 21.08.2023 | Начальник ИТ-отдела; Директор; Программист |
| Определение требований к архитектуре ИС | 21 дн. | Вт 22.08.2023 | Вт 19.09.2023 | Программист |
| Обоснование выбора средства реализации системы | 3 дн. | Вт 22.08.2023 | Чт 24.08.2023 | Программист |
| Работа с программным кодом | 7 дн. | Пт 25.08.2023 | Пн 04.09.2023 | Программист |
| Опытная эксплуатация | 5 дн. | Вт 05.09.2023 | Пн 11.09.2023 | Программист; Начальник ИТ-отдела |
| Установка ПО | 6 дн. | Вт 12.09.2023 | Вт 19.09.2023 | Программист |
| Определение списка пользователей | 5 дн. | Ср 20.09.2023 | Вт 26.09.2023 | Программист; Администратор |
| Определение ролей и полномочий для доступа к системе | 8 дн. | Ср 27.09.2023 | Пт 08.10.2023 | Программист |
| Разработка руководства пользователя | 4 дн. | Ср 27.09.2023 | Пн 04.10.2023 | Программист; Специалист службы поддержки |
| Разработка руководства администратора | 2 дн. | Вт 05.10.2023 | Ср 06.10.2023 | Программист |
| Оформление акта ввода в эксплуатацию | 2 дн. | Чт 07.10.2023 | Пт 08.10.2023 | Начальник ИТ-отдела; Директор |
Как показано в таблице 6, в процессе разработки информационной системы первоначально анализируется предметная область, что предполагает изучение технологического процесса работы с обращениями пользователей, изучение структуры информационных потоков, циркулирующих в контуре данной технологии. На данной стадии анализируются недостатки существующей технологии работы с обращениями пользователей, выявляются потребности пользователей во внедрении системы автоматизации, проводится разработка технического задания.
Стадии разработки программного продукта включают:
- построение схемы данных;
- создание объектов базы данных на уровне СУБД;
- разработка алгоритма обработки данных;
- написание программного кода.
Далее проводится развертывание разработанной системы на тестовых компьютерах и проверяется соответствие реализованного функционала поставленным задачам, наличие ошибок совместимости с системной архитектурой компании и системой безопасности. Далее проводится оформление протокола ошибок и его отработка с последующим тестирований.
После установки соответствия разработанной системы поставленным задачам проводится ввод программного продукта в промышленную эксплуатацию, оформляются документы «Руководство Администратора», «Руководство пользователя», оформляется приказом список специалистов, использующих информационную систему и уровень их полномочий, список администраторов приложения и безопасности.
Планирование проекта автоматизации предполагает необходимость учета факторов риска, которые могут приводить к отклонениям реализации проекта от плановых показателей по времени, стоимости и качеству.
В таблице 8 проведен анализ факторов риска реализации проекта на каждой из стадий, определён порядок минимизации негативных факторов.
Таблица 8
Оценка влияния рисков реализации проекта автоматизации
| № этапа | Стадия | Описание риска | Способы снижения негативного влияния |
| 1 | Изучение технологии управления системой защиты информации | Некорректное определение функций специалистов, их значимости, порядка обмена информацией | Документирование задач, согласование с сотрудниками различных подразделений |
| 2 | Определение функциональных требований | Некорректная постановка задач автоматизации | Документирование задач, согласование с руководством отделов |
| 3 | Работа с программными модулями | Ошибки в алгоритмах расчетов, оптимизации запросов, неточности при определении реквизитов и структуры данных | Проверка реализованного функционала на каждой из стадий |
| 4 | Развертывание созданного ПО | Ошибки в настройке пользовательских полномочий | Документирование данных по пользовательским функциям, согласование с руководством подразделений |
| 5 | Использование ПО | Смена состава команды проекта | Документирование программных модулей, организация системы дублирования функций |
Таким образом, в рамках составления плана развертывания программного решения необходимо учитывать вероятность реализации рисков, закладывать резервы времени, финансирования, назначать специалистов, выполняющих дублирующие функции. В таблице 9 описана система взаимодействия специалистов в части организации работы с проектом.
Таблица 9
Система взаимодействия специалистов, задействованных в проекте автоматизации
| Должность | Выполняемые работы | Уровень полномочий | Функции | Интерес к ИТ-проекту |
| Руководитель | Координация работ по созданию системы | Управление | Утверждение планов, прием предложений, управленческие решения по реализации проекта | Значительный |
| Разработчик | Определение функциональных и нефункциональных требований, программная реализация | Исполнение технической части | Написание программного кода, развертывание системы, техническая поддержка | Значительный |
| Специалист экономического отдела | Финансирование проекта, расчет стоимости работ | Управление выделением средств | Проведение оплат, связанных с реализацией проекта | Посредственный |
| Сотрудник, курирующий вопросы информационной безопасности | Определение функциональных требований, анализ качества программной реализации | Исполнение в части тестирования | Проверка реализованных функций, предложения по функционалу | Значительный |
| Администратор безопасности | Определение требований к защищенности | Экспертиза | Проверка настроек системы защиты, настройки ролей пользователей | Значительный |
2.1.2 Ожидаемые риски на этапах жизненного цикла и их описание
Планирование проекта автоматизации предполагает необходимость учета факторов риска, которые могут приводить к отклонениям реализации проекта от плановых показателей по времени, стоимости и качеству.
В таблице 10 проведен анализ факторов риска реализации проекта на каждой из стадий, определён порядок минимизации негативных факторов.
Таблица 10
Оценка влияния рисков реализации проекта автоматизации
| № этапа | Стадия | Описание риска | Способы снижения негативного влияния |
| 1 | Изучение технологии управления системой защиты информации | Некорректное определение функций специалистов, их значимости, порядка обмена информацией | Документирование задач, согласование с сотрудниками различных подразделений |
| 2 | Определение функциональных требований | Некорректная постановка задач автоматизации | Документирование задач, согласование с руководством отделов |
| 3 | Работа с программными модулями | Ошибки в алгоритмах расчетов, оптимизации запросов, неточности при определении реквизитов и структуры данных | Проверка реализованного функционала на каждой из стадий |
| 4 | Развертывание созданного ПО | Ошибки в настройке пользовательских полномочий | Документирование данных по пользовательским функциям, согласование с руководством подразделений |
| 5 | Использование ПО | Смена состава команды проекта | Документирование программных модулей, организация системы дублирования функций |
Таким образом, в рамках составления плана развертывания программного решения необходимо учитывать вероятность реализации рисков, закладывать резервы времени, финансирования, назначать специалистов, выполняющих дублирующие функции.
2.1.3 Организационно-правовые и программно-аппаратные средства обеспечения информационной безопасности и защиты информации
При внедрении информационной системы управления системой защиты информации необходимо определить пользовательские роли и комплекс их полномочий, что позволит организовать эффективную систему разграничения доступа к системе.
В таблице 11 приведено описание ролевой модели проектируемого программного решения.
Таблица 11
Описание ролевой модели проектируемого программного решения
| Администратор | Специалист по защите информации | |
| Учет пользователей | Чтение Добавление Удаление Редактирование Предоставление доступа | Чтение Добавление Удаление Редактирование
|
| Ведение классификаторов | Чтение Добавление Удаление | Просмотр |
| Ведение журнала инцидентов | Редактирование | Чтение Добавление Удаление |
| Учет данных о принятых мерах в области защиты информации | Предоставление доступа | Редактирование |
| Формирование макетов документов по учету инцидентов | Чтение Добавление Удаление | Просмотр |
| Учет пользователей | Редактирование | Нет |
2.2 Информационное обеспечение задачи
2.2.1 Информационная модель и её описание
На рисунке 16 приведена информационная модель системы.
Рисунок 16 – Информационная модель системы
Как показано на рисунке 16, информационная модель системы включает области:
1 – Работа системы, связанная с обеспечением обращений к базе данных;
2 – Область специалиста с правами ввода информации через интерфейс ПО.
3 – Область выгрузки данных.
2.2.2. Характеристика нормативно-справочной, входной и оперативной информации
В рамках анализа информационной системы учета заявок пользователей было проведено определение ключевых сущностей информационной системы, их атрибутов, проведена установка связей между ними.
Список объектов проектируемой информационной системы включает:
— заявки;
— пользователи;
— виды работ;
— специалисты;
— модели оборудования;
— оборудование;
— ремонтные работы.
В рамках анализа информационной системы учета заявок пользователей на ремонт и сервисное обслуживание техники, определим ключевые сущности информационной системы, их атрибуты, установим связи между ними [21].
Нормативно-справочная информация в работе системы включает следующие сущности:
- −обращения пользователей;
- −данные о пользователях;
- −статусы отработки обращений;
- −виды выполняемых работ по обращениям;
- −сотрудники ИТ-отдела;
- −модели оборудования;
- −объекты обслуживаемого оборудования;
- −работы, проведённые по обращениям пользователей.
Таблица 12
Структура нормативно-справочной информации
| № п/п | Наименование справочника | Ответственный за ведение | Количество записей | Частота актуализации (ед./год) |
| 1 | Отделы | Специалист ИТ-отдела | 10 | 1 |
| 2 | Сотрудники | Специалист ИТ-отдела | 50 | 10 |
| 3 | Статусы отработки обращений | Специалист ИТ-отдела | 10 | 0 |
| 4 | Виды техники | Специалист ИТ-отдела | 60 | 15 |
| 5 | Компьютерное оборудование | Специалист ИТ-отдела | 400 | 100 |
Таблица 13
Структура оперативной информации
| № п/п | Наименование вида оперативной информации | Ответственный за ведение | Количество записей | Частота актуализации (ед./год) |
| 1 | Обращения пользователей | Специалист ИТ-отдела | 2000 | 1000 |
| 2 | Работы по обращению | Специалист ИТ-отдела | 4000 | 2000 |
Далее проведено проектирование макетов экранных форм.
На рис.16 приведен макет экранной формы ввода обращений пользователя.
Рисунок 17 – Макет экранной формы ввода обращений пользователя
На рис.17 приведен макет экранной формы работы по обращению пользователя.
Рисунок 18 – Макет экранной формы работы по обращению пользователя
2.2.3. Характеристика результатной информации
К результатной информации относится сформированная отчётность, в которой отражаются данные по учету обращении пользователей.
Программное обеспечение должно предоставлять возможности выгрузки отчетных данных во внешнее приложение (MS Excel, MS Word, Adobe Reader и др.), что обеспечивает возможности её сохранения и пересылки по каналам электронной почты [18].
В таблице 14 приведено описание форм результатной информации.
Таблица 14
Описание форм результатной информации
| Выходной документ | Реквизитный состав (Поля документа) | Частота форми-рования | Таблицы | Способ доставки потребителям |
| Стоимость работ по обращению | Дата обращения, Номер обращения, вид работы, стоимость | 1000 раз/год | Журнал обращений, справочник сотрудников, справочник видов оборудования | Файловый, печатная форма |
| Список оборудования в ремонте | Наименование оборудования, инвентарный номер | 1000 раз/год | Журнал заявок, справочник сотрудников, справочник видов оборудования | Файловый, печатная форма |
| Список оборудования к выдаче | Наименование оборудования, инвентарный номер | 1000 раз/год | Журнал заявок, справочник сотрудников, справочник видов оборудования | Файловый, печатная форма |
| Стоимость работ по сотрудникам | Дата обращения, Номер обращения, вид работы, стоимость, ФИО сотрудников | 1000 раз/год | Журнал заявок, справочник сотрудников, справочник видов оборудования | Файловый, печатная форма |
Таким образом, проектирование структуры данных информационной системы должно производиться в соответствии с указанными требованиями.
2.3. Программное обеспечение задачи
2.3.1. Общие положения (дерево функций и сценарий диалога)
Диаграмма «Дерево функций» обеспечивает наглядное отображение иерархии функций управления и способы обработки данных, автоматизация которых реализована в информационной системе.
Определены подмножества функций информационной системы, показанные на рисунке 18.
Рисунок 19 — Дерево функций
Служебные функции в системе обеспечивают возможности защиты от несанкционированного доступа, настройку списка пользователей, работу с системой парольной защиты, обслуживание базы данных;
Основные функции включают возможности работы с заявками пользователей в части работы со справочной, оперативной и отчётной информацией.
На рисунке 19 приведен сценарий диалога системы.
Рисунок 20 — Сценарий диалога системы
2.3.2. Характеристика базы данных
Далее приведено описание реквизитного состава входных данных.
Таблица 15
Реквизитный состав справочной информации «Виды работ»
| Атрибут | Тип данных | Ограничения | Обязательность | Примеры записей |
| Идентификатор вида работ | Целочисленный | Ключевой атрибут | Да | 1 |
| Наименование вида работ | Текстовый | Текстовый | Да | Настройка прошивки |
| Стоимость | Денежный | Нет | 1000р. |
Таблица 16
Реквизитный состав справочника «Модели оборудования»
| Атрибут | Тип данных | Ограничения | Обязательность | Примеры записей |
| Идентификатор модели оборудования | Целочисленный | Ключевой атрибут | Да | 1 |
| Наименование модели | Текстовый | Текстовый | Да | Samsung ML-4020 ND |
Таблица 17
Реквизитный состав справочника «Сотрудники»
| Наименование параметра | Тип данных | Ограничения | Обязательность | Примеры записей |
| Идентификатор сотрудника | Целое | Ключевой атрибут | Да | 1 |
| ФИО сотрудника | Текстовый | 200 | Да | Соболев В.В. |
| Должность | Текстовый | 200 | Нет | инженер |
Таблица 18
Реквизитный состав справочника «Пользователи»
| Наименование параметра | Тип данных | Ограничения | Обязательность | Примеры записей |
| Идентификатор пользователя | Целое | Ключевой атрибут | Да | 1 |
| Наименование | Текстовый | 200 | Да | Иванов И.И. |
| Кабинет | Текстовый | 200 | Нет | 503 |
| Телефон | Текстовый | 20 | Да | +79088569696 |
| Должность | Текстовый | 200 | Нет | инженер |
Таблица 19
Реквизитный состав справочника «Оборудование»
| Атрибут | Тип данных | Ограничения | Обязательность | Примеры записей |
| Идентификатор объекта | Целое | Ключевой атрибут | Да | 1 |
| Код модели | Целое | Да | 1 | |
| Инвентарный номер | Текстовый | Да | 01235101556 | |
| Заводской номер | Текстовый | Нет | ВП45674612 | |
| Код пользователя | Целый | Связь со справочником пользователей | Да | 1 |
| Стоимость | Число (10,2) | Да | 25000р. |
Таблица 20
Реквизитный состав входного документа «Заявки»
| Наименование параметра | Тип данных | Ограничения | Обязательность | Примеры записей |
| Идентификатор заявки | Целое | Ключевой атрибут | Да | 1 |
| Код объекта | Целое | Да | 1 | |
| Дата заявки | Дата | Да | 10.08.2023 | |
| Содержание заявки | Текстовый | Да | Ремонт блока питания | |
| Состояние отработки | Логический | Да | В работе |
Таблица 21
Реквизитный состав табличной части входного документа «Работы по заявкам»
| Наименование параметра | Тип данных | Ограничения | Обязательность | Примеры записей |
| Идентификатор работы | Целое | Ключевой атрибут | Да | 1 |
| Идентификатор заявки | Целое | Да | 1 | |
| Идентификатор сотрудника | Целое | Да | 1 | |
| Содержание работы | Текстовый | 200 | Да | Замена блока питания |
| Дата работы | Дата | Да | 20.08.2023 |
Таблица 22
Структура справочника «Виды работ»
| Атрибут | Тип данных | Ограничения | Обязательность |
| Код вида работ | СправочникСсылка | Ключевой атрибут | Да |
| Наименование вида работ | Текстовый | 200 | Да |
| Стоимость | Число (10,2) | Нет |
Инфологическая модель приведена на рисунке 20. Далее приведено описание структуры данных в формате «1С: Предприятие».
Рисунок 21 — Логическая модель базы данных
Сущность «Клиенты» используется для описания пользователей, с которыми работают сотрудники компании. Сущность «Виды работ» используется для описания видов работ, которые проводятся по обращениям и возможности настройки распределения видов работ по сотрудникам. Сущность «Заявки» включает описание пользовательских обращений, сущность «оборудование» описывает устройства, обслуживаемые сотрудниками компании, по которым проводятся работы. Сущность «Модели оборудования» используется для описания моделей оборудования, с которым проводятся работы. Сущность «Работы по заявкам» включает журнал работ, которые проводятся с обращениями. Сущность «Сотрудники» описывает специалистов, проводящих работы по обращению.
Таблица 23
Структура справочника «Модели оборудования»
| Атрибут | Тип данных | Ограничения | Обязательность |
| Код модели оборудования | СправочникСсылка | Ключевой атрибут | Да |
| Наименование модели | Текстовый | 200 | Да |
| Код вида оборудования | СправочникСсылка ВидОборудования | Да |
Таблица 24
Структура справочника «Специалисты»
| Наименование параметра | Тип данных | Ограничения | Обязательность |
| Код специалиста | СправочникСсылка | Ключевой атрибут | Да |
| ФИО специалиста | Текстовый | 200 | Да |
| Должность | Текстовый | 200 | Нет |
Таблица 25
Структура справочника «Пользователи»
| Наименование параметра | Тип данных | Ограничения | Обязательность |
| Код пользователя | Справочник Ссылка | Ключевой атрибут | Да |
| Наименование | Текстовый | 200 | Да |
| Адрес | Текстовый | 200 | Нет |
| Телефон | Текстовый | 20 | Да |
Таблица 26
Структура справочника «Оборудование»
| Атрибут | Тип данных | Ограничения | Обязательность |
| Код объекта | СправочникСсылка | Ключевой атрибут | Да |
| Код модели | СправочникСсылка Модели | Ссылка | Да |
| Инвентарный номер | Текстовый | 200 | Да |
| Заводской номер | Текстовый | 200 | Нет |
| Дата продажи | Дата | Дата | Да |
| Код пользователя | СправочникСсылка Клиенты | Ссылка | Да |
| Описание | Текстовый | 200 | Да |
| Стоимость | Число (10,2) | Да |
Таблица 27
Структура входного документа «Заявки на техобслуживание»
| Наименование параметра | Тип данных | Ограничения | Обязательность |
| Код заявки | ДокументСсылка | Ключевой атрибут | Да |
| Код объекта | СправочникСсылка Оборудование | Ссылка | Да |
| Дата заявки | Дата | Да | |
| Содержание заявки | Текстовый | 200 | Да |
| Состояние заявки | Логический | Да |
Таблица 28
Реквизитный состав табличной части входного документа «Работы по заявкам»
| Наименование параметра | Тип данных | Ограничения | Обязательность |
| Код работы | ДокументСсылка | Ключевой атрибут | Да |
| Код заявки | ДокументСсылка Заявки | Ссылка | Да |
| Код специалиста | СправочникСсылка специалисты | Ссылка | Да |
| Содержание работы | Текстовый | 200 | Да |
| Дата работы | Дата | Да |
2.3.3. Структурная схема пакета (дерево вызова программных модулей)
На рисунке 21 показано дерево вызова программных модулей.
Рисунок 22 — Дерево вызова программных модулей
В таблице 27 приведено описание программных модулей системы.
Таблица 29
Описание программных модулей
| № п/п | Модуль программы | Функции подсистемы |
| 1 | Модуль ведения классификаторов | Ведение справочной информации по оборудованию |
| 2 | Модуль учета данных по организационной структуре | Ведение учета данных о сотрудниках, отделах, кабинетах |
| 3 | Модуль регистрации обращений | Регистрация пользовательских обращений |
| 4 | Модуль учета работ по обращениям | Учет работ по обращениям пользователей |
| 5 | Модуль формирования отчетности по обращениям | Отчетность по работе с заявками пользователей |
| 6 | Модуль расчета нагрузки на специалистов | Отчет по нагрузке на сотрудников ИТ-отдела |
| 7 | Модуль ролевой модели | Управление пользователями |
2.3.4. Описание программных модулей
Рассмотрен программный модуль М6 «Стоимость работ по обращению», позволяющий рассчитывать стоимость выполненных работ по выбранному обращению пользователя.
Развернутая блок-схема работы модуля М6 представлена на рисунке 22.
Рисунок 23 — Блок-схема модуля М6
Структура представления (VIEW) SVOD_3, предназначенного для получения отчета, представлена в таблице 28.
Таблица 30
Структура записи представления SVOD_3
| № п/п | Наименование показателя | Идентификатор | Тип |
| 1 | Код строки | id | Int |
| 2 | Номер обращения | Num_obr | Varchar (100) |
| 3 | Вид работ | Vid_r | Varchar(60) |
| 4 | Дата отчета | Dt_otch | Int |
| 5 | Стоимость работ | Stm | Int |
Технологический процесс по формированию отчета включает этапы:
- настройки критериев выборки;
- запуск формирования отчета, в рамках которого на серверной части проводится выборка данных, соответствующих заданным критериям;
- загрузка данных выборки в шаблон.
2.4. Контрольный пример реализации проекта и его описание
При внедрении информационной системы учета заявок пользователей на ремонт и сервисное обслуживание техники необходимо определить пользовательские роли и комплекс их полномочий, что позволит организовать эффективную систему разграничения доступа к системе.
В таблице 31 приведено описание пользовательских ролей разрабатываемой системы.
Таблица 31
Описание пользовательских ролей разрабатываемой системы
| Функции / Роли | Специалист | Администратор | Руководитель |
| Учет пользователей | Чтение | Полный | Чтение |
| Учет объектов ИТ-инфраструктуры | Чтение | Полный | Чтение |
| Учет поступающих обращений | Полный | Полный | Полный |
| Учет данных об отработке заявок клиентов | Чтение | Полный | Чтение |
| Настройка стоимости работ по обращениям | Нет | Полный | Нет |
| Формирование сводного отчета | + | + | |
| Формирование отчета по сотрудникам | + | + |
На рис.23 приведён справочник пользователей системы.
Рисунок 24 – Справочник пользователей
В системе проведено разделение на пользовательский и административный уровни доступа, что позволяет обеспечить защиту от ошибочных действий пользователей, от утечек информации, несанкционированного копирования данных.
Далее приведено описание основных режимов работы созданного программного обеспечения для автоматизации работы с обращениями пользователей в условиях АО «НТЦ Системного моделирования». На рисунке 24 приведена главная форма.
Рисунок 25 — Главная форма
На рисунке 25 приведен справочник видов работ по обращениям пользователей.
Рисунок 26 — Справочник видов работ по обращениям пользователей
На рисунках 26-27 показан справочник пользователей.
Рисунок 27 — Справочник специалистов, использующих медицинское оборудование (режим списка)
Рисунок 28 — Справочник пользователей (добавление)
На рисунках 28-29 показан режим справочника используемого компьютерного оборудования.
Рисунок 29 — Режим справочника оборудования (список)
Рисунок 30 — Режим справочника оборудования (добавление)
На рисунке 30 приведен режим ввода обращения пользователя.
Рисунок 31 — Режим ввода обращения пользователя
На рисунках 31-32 приведен режим справочника сотрудников, осуществляющих работы с оборудованием по обращениям пользователей.
Рисунок 32 — Справочник сотрудников (список)
Рисунок 33 — Режим списка обращений пользователей
Рисунок 34 — Справочник сотрудников (добавление)
На рисунках 34 показан режим учета выполненных работ по обращениям.
Рисунок 35 — Ввод данных о ремонтных работах
На рисунке 35 приведен отчет «Список оборудования в ремонте».
Рисунок 36 — Отчет «Список оборудования в ремонте»
На рисунке 36 приведен отчет «Список оборудования к выдаче».
Рисунок 37 — Отчет «Список оборудования к выдаче»
Рисунок 38 – Макет отчета по списку оборудования к выдаче
На рисунке 38-39 приведен отчет «Стоимость работ по сотрудникам».
Рисунок 39 – Конструктор отчёта по стоимости работ по сотрудникам
Рисунок 40 — Отчет «Стоимость работ по сотрудникам»
На рисунке 40 приведен отчет «Стоимость работ по обращению»
Рисунок 41 — Отчет «Стоимость работ по обращению»
Целью тестирования системы является анализ соответствия реализованного функционала поставленным задачам, анализ параметров быстродействия системы, проверка реализации ролевой модели, корректности проводимых расчётов. Тестирование проводится на этапе отладки приложения, выявляются несоответствия, проверяется наличие системных ошибок, совместимость с ИТ-инфраструктурой компании. Выявленные ошибки устраняются до передачи в работу программного решения.
Тестирование проводится на предмет соответствия заявленному функционалу, на корректность проводимых расчетов, правильность формирования печатных форм, отсутствие системных ошибок.
Протокол проверки режимов по работе с пользователями приведён в таблице 30.
Таблица 32
Протокол проверки режимов по работе с пользователями
| № | Функционал | Вид теста | Предусловие | Постусловие | Ожидаемый результат |
| 1 | Учет обращений пользователей | Ввод заявок на выполнение работ с оборудованием | Поступило обращение клиента | 1.Нажать «добавить обращение» 2. Заполнение карточки 3. Проверка корректности ввода | Заявка отображается в списке |
Протокол проверки режимов по учету оказанных услуг приведен в таблице 31.
Таблица 33
Протокол проверки режимов по учету выполненных работ
| № | Функционал | Вид теста | Предусловие | Постусловие | Ожидаемый результат |
| 1 | Учет работ с оборудованием по заявкам | Расчет стоимости выполнения работ | Поступили данные о выполнении работ | Заполнить форму списка работ по заявке | Выполненные работы отображаются в списке |
- Простой тест-кейс (таблица 32)
Таблица 34
Тестирование режима формирования отчета по списку оборудования в ремонте
| Действие | Реакция системы |
| Запуск формы формирования отчета по обращениям в поддержку | Открыта форма запроса отчетности по обращениям в поддержку |
| Старт создания формы выходного документа | Формирование выходного документа |
| Выходной документ готов для распечатки | Подготовка печатного макета |
- В таблице 33 показаны результаты проверки режима работы по учету исполнения заявок на выполнение работ.
Таблица 35
Результаты проверки режима работы по учету исполнения заявок на выполнение работ
| Функционал | Реакция системы |
| Открытие списка отчетов | Открытие списка отчетов |
| Выбор отчета по учету исполнения заявок в поддержку | Система проверяет корректность ввода, наличие введенных реквизитов, отмеченных как обязательные, проверка на отсутствие ошибок, связанных с ограничениями на значения полей |
| Вывод отчета на печать | Система выдает на экран сформированный отчет, пользователь имеет возможность распечатки отчета |
В таблице 34 показаны результаты проверки режима работы по списку оборудования в ремонте.
Таблица 36
Результаты проверки режима работы по учету исполнения заявок на выполнение работ
| Функционал | Реакция системы |
| Открытие списка отчетов | Открытие списка отчетов |
| Выбор отчета по списку оборудования в ремонте | Система проверяет корректность ввода, наличие введенных реквизитов, отмеченных как обязательные, проверка на отсутствие ошибок, связанных с ограничениями на значения полей |
| Вывод отчета на печать | Система выдает на экран сформированный отчет, пользователь имеет возможность распечатки отчета |
Таким образом, по итогам проведённого тестирования ошибок не выявлено.
Выводы по разделу
Проведено проектирование системы для автоматизации задач специалиста работе с пользовательскими обращениями, что включает: ведение учета данных об информационных ресурсах, прием и обработку пользовательских заявок, формирование документации в работы с оборудованием.
Далее определены требования к архитектуре системы, проведено описание пользовательских сценариев использования системы. В рамках программной реализации выбрана среда для создания программного решения. Далее описаны пользовательские режимы созданной системы автоматизации работы с заявками. Показаны режимы работы по ведению картотек информационных ресурсов, картотеки пользователей. Приведены результаты проверки функциональности, а также режим конфигурирования.
III Обоснование экономической эффективности проекта
3.1 Выбор и обоснование методики расчёта экономической эффективности
В рамках проведения оценки экономического эффекта внедрения системы предполагается проведение сопоставления затрат, связанных с вложениями в создание системы автоматизации управления системой работы с пользовательскими заявками (трудовых, материальных, затрат на приобретение оборудования и лицензий на ПО).
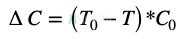
Для проведения анализа экономической эффективности внедрения разработанной системы определим перечень процессов, которые автоматизированы посредством внедрения информационной системы. В качестве методики оценки экономического эффекта выбрана методика сравнения внедряемой технологии с используемой в настоящее время. В соответствии с данной методикой производится расчет сокращения трудозатрат на выполнение технологических операций ( ) с учетом периодичности их выполнения в течение года.
(1)
– общий объем временных затрат на выполнение операций в области управления пользовательскими заявками в годовом выражении до внедрения информационной системы;
Т — общий объем временных затрат на выполнение в области управления пользовательскими заявками в годовом выражении при внедрении информационной системы
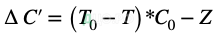
В денежном выражении величина экономического эффекта ( ) вычисляется по формуле:
(2)
С0 – величина оплаты труда специалистов, задействованных в выполнении автоматизируемых технологических операций.
Вычисленные показатели экономического эффекта в денежном выражении сопоставляются с величиной сметы реализации проекта, в которую включаются затраты на оплату труда сотрудников, задействованных в проекте создания системы управления информационной безопасностью. Также учитываются затраты, связанные с использованием оборудования, накладные расходы, затраты, связанные с оплатой электроэнергии. Также, в случае необходимости постоянных вложений, связанных с эксплуатацией системы (например, введения дополнительной ставки администратора базы данных), их сумма вычитается из величины постоянного экономического эффекта:
(3)
(Z – величина постоянных затрат, связанных с введением системы в эксплуатацию)
Далее проводится сопоставление величины полученного эффекта и итогового значения суммы затрат в реализацию системы, рассчитываются параметров денежного потока с учётом дисконтирования.
3.2 Расчёт показателей экономической эффективности проекта
Далее проведены расчеты объемов вложений в создание системы, что включает: оплату труда привлеченных сотрудников, вложения в закупку материалов, затраты, связанные с оплатой электроэнергии на рабочих местах, использующих компьютерную технику в рамках создания программного решения.
В таблице 37 приведён расчет объемов вложений в оплату труда участвующих сотрудников в создании программного решения.
Таблица 37
Расчет объемов вложений в оплату труда участвующих сотрудников в создании программного решения
| Должность | Оплата труда за 1 час (руб.) | Количество часов участия в проекте | Величина заработной платы, руб. | ФОТ с учетом страховых взносов (30,2%), руб. |
| ИТ-специалист | 410 | 210 | 86100 | 112102.2 |
| Специалист по защите информации | 400 | 50 | 20000 | 26040 |
| Специалист отдела по работе с клиентами | 340 | 70 | 23800 | 30987.6 |
| Руководитель отдела по работе с клиентами | 440 | 5 | 2200 | 2864.4 |
| Итого | 132100 | 171994.2 |
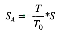
Вложения, связанные с амортизационными издержками, вычисляются из соотношения:
(4)
Sa – величина издержек, связанных с использованием техники, руб.
T – длительность использования компьютерной техники;
T0 – срок полезного использования компьютерной техники.
S – стоимость компьютерного оборудования, используемого при работе над программным проектом.

Величина оплаты за потребление электроэнергии при использовании компьютерного оборудования:
![]()
Se – величина оплаты за потребление электроэнергии при использовании компьютерного оборудования, руб.;
t – тариф за 1кВт*ч (руб.)
T – длительность использования оборудования при работе над проектом программного решения по оформлению юридических документов;
N – потребляемая мощность оборудования, кВт.
В таблице 19 приведены расчеты стоимости приобретаемых материалов, необходимых при работе над проектом ( ).
Таблица 19
Расчет сумм накладных расходов
| Тип затрат | Цена ед. | Количество | Итого |
| Канцелярские товары (комплект) | 1000 | 1 | 1000 |
| Бумага для принтера | 500 | 1 | 500 |
| Накопители для сохранения файлов проекта и документации | 500 | 1 | 500 |
| Тонер-картридж | 3000 | 1 | 3000 |
| Всего | 5000 |
Величина сметы на создание программного решения:
![]()
Кп = 171994 + 2000 + 756 + 5000 = 179750 руб.
Далее оказаны расчеты снижения трудоемкости операций, связанных с созданием системы автоматизации бизнес-процессов правового управления (таблица 20).
Таблица 20
Оценка годового сокращения трудозатрат в денежном выражении
| Операции | Количество операций в год | Время выполнения до внедрения системы, мин. | Время выполнения после внедрения системы, мин. | Сокращение трудоемкости процесса, мин. | Сокращение трудозатрат в годовом выражении, мин | Сокращение трудозатрат в годовом выражении, руб. |
| Учет пользователей | 100 | 10 | 2 | 8 | 800 | 6667 |
| Ведение классификаторов | 60 | 150 | 1 | 149 | 8940 | 74500 |
| Ведение журнала инцидентов | 100 | 30 | 1 | 29 | 2900 | 24167 |
| Учет данных о принятых мерах в области защиты информации | 100 | 30 | 1 | 29 | 2900 | 24167 |
| Формирование макетов документов по учету инцидентов | 100 | 60 | 1 | 59 | 5900 | 49167 |
| Итого | 178668 |

Полученный результат показывает, что проект по созданию информационной системы управления информационной безопасностью является экономически целесообразным.
Выводы по главе 3
На стадии проведения экономических расчетов по оценке получаемого эффекта от внедрения системы автоматизации учета инцидентов информационной безопасности было показано, что получение экономической выгоды обусловлено получением возможностей формирования отчётности в автоматическом режиме снижением времени на ведение операций ведения журналов инцидентов информационной безопасности, получения данных по статистикам нарушений в области соблюдения требований по защите информации. Рассчитаны показатели срока окупаемости проекта, величины получаемой выгоды. Показано, что внедрение системы автоматизации технологии работы специалиста по защите информации в деятельность исследуемой организации является экономически обоснованным.
ЗАКЛЮЧЕНИЕ
В данной работе проведено создание информационной системы для автоматизации технологии работы с обращениями пользователей. Актуальность внедрения информационных систем в данное направление деятельности обусловлена необходимостью повышения оперативности реагирования на инциденты, связанные с эксплуатацией объектов ИТ-инфраструктуры компании, сокращения времени простоев рабочих мест специалистов, необходимостью оптимизации работы ИТ-отдела в части выполнения работ, связанных с устранением проблемных ситуаций в работе с программными комплексами, составления отчётности по деятельности специалистов. Данные, получаемые по результатам обработки информации в информационной системе учета обращений пользователей, могут использоваться для принятия управленческих решений в части организации взаимодействия специалистов ИТ-отдела с сотрудниками компании.
В ходе исследования был определен ряд недостатков существующей технологии учета пользовательских обращений, связанных с потерей оперативности при передаче информации о поступлении обращений, передаче их в работу ИТ-специалистам, невозможностью формирования отчетности по отработке заявок пользователей. В результате чего было принято решение автоматизировать технологию учета обращении пользователей.
В процессе автоматизации была разработана ИС в программном продукте 1С с целью повышения эффективности работы учреждения, так как создание системы учета заявок пользователей на ремонт и сервисное обслуживание техники в данной среде позволит обеспечить возможности обмена данными, интеграции систем для получения необходимых справочных данных. В качестве технического обеспечения выбрано: для серверной части – используемая серверная платформа, в качестве аппаратной платформы на рабочих станциях – пользовательские компьютеры с параметрами, оптимальными для использования системы.
Были созданы справочники пользователей, видов обращений, объектов обслуживаемой техники, реализована возможность работы по вводу обращений, выполненных работах, расчёту затрат на выполнение работ с объектами ИТ-инфраструктуры. В результате работы системы формируются отчеты, в которых отражаются обращения, находящиеся в работе, список техники, переданной для выполнения работ, статистические данные об отработке обращений.
Факторы получаемого экономического эффекта связаны с сокращением временных затрат на выполнение технологических операций ИТ-специалистами. Срок окупаемости проекта оценивается в 7,6 мес., что является приемлемым результатом в условиях исследуемой компании. Оценка получаемого эффекта в денежном выражении – 275 тыс.руб в год.
СПИСОК ИСПОЛЬЗОВАННЫХ ИСТОЧНИКОВ
Нормативно-правовые акты
- ГОСТ 34.601-90 Информационная технология. Комплекс стандартов на автоматизированные системы. Автоматизированные системы. Стадии создания.
- Федеральный закон «Об информации, информационных технологиях и о защите информации» № 149-ФЗ // Справочно-правовая система Консультант Плюс
Специальная и учебная литература
- Лычкина Н.Н. Информационные системы управления производственной компанией: учебник и практикум для вузов / Н. Н. Лычкина. — Москва : Издательство Юрайт, 2023. — 249 с.
- Аврунев О. Е., Стасышин В. М. Бизнес-информатика. учебное пособие: / О. Е. Аврунев, В. М. Стасышин. — Новосибирск: Изд-во НГТУ, 2018. – 121с.
- Заграновская, А. В. Системный анализ: учебное пособие для вузов / А. В. Заграновская, Ю. Н. Эйсснер. — Москва : Издательство Юрайт, 2023. — 424 с.
- Зыков, С. В. Программирование: учебник и практикум для академического бакалавриата / С. В. Зыков. — 2-е изд., перераб. и доп. — Москва : Издательство Юрайт, 2023. — 285 с.
- Баранников Н. И., Яскевич О. Г. Использование ITIL для управления службой технической поддержки: учебник / Н. И. Баранников, О. Г. Яскевич. — Воронеж: Воронежский государственный технический университет, 2019. — 237 с.
- Баранчиков А. И. Управление ИТ-инфраструктурой организаций: учебник / А. И. Баранчиков. — Рязань: РГУ, 2019. — 219 с.
- Беляева Т. М. Информационные технологии в юридической деятельности: учебник /Беляева Т. М., Кудинов А. Т., Пальянова Н.В. — Москва: Проспект, 2018. — 349 с.
- 10.Зыков, С. В. Программирование. Функциональный подход: учебник и практикум для вузов / С. В. Зыков. — 2-е изд. — Москва: Издательство Юрайт, 2023. — 150 с.
- 11.Долганова О. И. Моделирование бизнес-процессов : учебник и практикум для вузов / О. И. Долганова, Е. В. Виноградова, А. М. Лобанова ; под редакцией О. И. Долгановой. — Москва : Издательство Юрайт, 2023. — 289 с.
- 12.Каменнова М. С. Моделирование бизнес-процессов: учебник и практикум для вузов / М. С. Каменнова, В. В. Крохин, И. В. Машков. — Москва : Издательство Юрайт, 2023. — 534 с.
- 13.Проектирование информационных систем : учебник и практикум / Д. В. Чистов, П. П. Мельников, А. В. Золотарюк, Н. Б. Ничепорук. — 2-е изд., перераб. и доп. — Москва : Издательство Юрайт, 2023. — 293 с.
- 14.Грекул, В. И. Проектирование информационных систем : учебник и практикум для среднего профессионального образования / В. И. Грекул, Н. Л. Коровкина, Г. А. Левочкина. — Москва : Издательство Юрайт, 2023. — 385 с.
- 15. Гордеев С. И. Организация баз данных в 2 ч.: учебник / С. И. Гордеев, В. Н. Волошина. — Москва: Издательство Юрайт, 2022. — 513 с.
- 16.Даева С. Г. Основы разработки корпоративных информационных систем на платформе 1С: Предприятие 8.3: учебно-методическое пособие / Даева С. Г. — Москва: РТУ МИРЭА, 2020. – 562с.
- 17.Данелян Т. Я. Информационные технологии в юридической деятельности учебно-методический комплекс / Т. Я. Данелян. — Москва: МЭСИ, 2016. — 283 с.
- 18.Зимин, В.В. Управление жизненным циклом ИТ-сервисов в системах информатики и автоматизации (лучшие практики ITIL): учебное пособие / В. В. Зимин. — Кемерово: Кузбассвузиздат, 2018. – 499 с.
- 19.Илюшечкин В. М. Основы использования и проектирования баз данных: учебник / В. М. Илюшечкин. —Москва : Издательство Юрайт, 2022. — 213 с.
- 20.Казанцев С.Я. Информационные технологии в юридической деятельности: учебное пособие / С. Я. Казанцев. — Москва: ЮНИТИ-Дана, 2020. — 351 с.
- 21.Советов Б. Я. Базы данных : учебник для вузов / Б. Я. Советов, В. В. Цехановский, В. Д. Чертовской. — 3-е изд., перераб. и доп. — Москва : Издательство Юрайт, 2023. — 420 с.
- 22.Нетесова, О. Ю. Информационные системы и технологии в экономике : учебное пособие для вузов / О. Ю. Нетесова. — 4-е изд., испр. и доп. — Москва : Издательство Юрайт, 2023. — 178 с.
- 23.Карпузова В. И. Информационные системы и технологии в экономике. Конфигуратор «1C: Предприятие 8.3»: учебное пособие / В. И. Карпузова, К. В. Чернышева, Н. В. Карпузова. — Москва: Изд-во РГАУ-МСХА, 2019. — 104 с.
- 24.Стружкин Н. П. Базы данных: проектирование: учебник для вузов / Н. П. Стружкин, В. В. Годин. — Москва: Издательство Юрайт, 2023. — 477 с.
- 25.Щеглов, А. Ю. Защита информации: основы теории: учебник для вузов / А. Ю. Щеглов, К. А. Щеглов. — Москва: Издательство Юрайт, 2023. — 309 с.
- Лицензирование системы «1С: Предприятие». [Электронный ресурс]. Режим доступа: https://is1c.ru/products/litsenzii-1c-predpriyatie/litsenzii-1c-predpriyatie-8/ (дата доступа: 17.08.2023)
- Дмитриев, Н.А., Авласевич, Д.В., Шаврина, О.В., Чураев, В.В. Инновационные маркетинговые технологии // Форум молодых ученых. 2020. №10 (50)
- Володченко, В.С., Ланцова, Д.С., Миронова Т.А. Понятие и классификация информационных технологий // Достижения науки и образования. 2020. №12 (66).
- Авласевич, Д.В., Дмитриев. Н.А., Шаврина. О.В., Чураев, В.В. Информационная безопасность и информационные технологии // Форум молодых ученых. 2020. №10 (50)
- Бабикова, А.В. Оптимизация бизнес-процессов организации на основе внедрения процессного подхода // КЭ. 2017. №11.
- Ефимова, Е. К. Основные аспекты разработки медицинских информационных систем / Е. К. Ефимова, И. А. Аполлонова. — Текст: непосредственный // Молодой ученый. — 2017. — № 16 (150). — С. 169-173. — URL: https://moluch.ru/archive/150/42438/ (дата обращения: 17.08.2023).
- Деньга, А. В. Медицинская информационная система для автоматизации рабочего места врача / А. В. Деньга, В. В. Шлыков. — Текст: непосредственный // Молодой ученый. — 2016. — № 13 (117). — С. 108-110. — URL: https://moluch.ru/archive/117/32293/ (дата обращения: 17.08.2023).
Страницы 1 2
или напишите нам прямо сейчас:
⚠️ Пожалуйста, пишите в MAX или заполните форму выше.
В России Telegram и WhatsApp блокируют - сообщения могут не дойти.
