или напишите нам прямо сейчас:
⚠️ Пожалуйста, пишите в MAX или заполните форму выше.
В России Telegram и WhatsApp блокируют - сообщения могут не дойти.
Страницы 1 2
2 Анализ деятельности, кадрового состава и работы государственных служащих Зюзинской межрайонной прокуратуры города Москвы с обращениями граждан
2.1 Характеристика деятельности и кадрового состава Зюзинской межрайонной прокуратуры города Москвы
В качестве объекта исследования выступает Зюзинская межрайонная прокуратура города Москвы. Адрес: Москва, улица Дмитрия Ульянова, дом № 16, корпус 3.
или напишите нам прямо сейчас:
⚠️ Пожалуйста, пишите в MAX или заполните форму выше.
В России Telegram и WhatsApp блокируют - сообщения могут не дойти.
Поднадзорная территория Зюзинской межрайонной прокуратуры города Москвы включает районы ЮЗАО, а именно: Зюзино, Котловка, Южное Бутово, Северное Бутово.
Структура Зюзинской межрайонной прокуратуры города Москвы представлена на рисунке 1.

Рисунок 2.1 – Организационная структура Зюзинской межрайонной прокуратуры города Москвы
По состоянию на 01.01.2021 г. штат Зюзинской межрайонной прокуратуры города Москвы составил 45 человек, из них:
— руководство (административный персонал) – 11 чел.;
— основной персонал – 34 чел.
Изменение их соотношения по годам за последние три года приведены в таблице 2.1.
Таблица 2.1 — Изменение соотношения численности сотрудников по годам
| Годы | Общая численность персонала | Численность административного персонала | Численность основного персонала |
| 2018 | 44 | 10 | 34 |
| 2019 | 44 | 10 | 34 |
| 2020 | 45 | 11 | 34 |
Рисунок 2.2 — Динамика численности сотрудников Зюзинской межрайонной прокуратуры города Москвы
Для более детального анализа используем данные первичного учета. Составим аналитическую таблицу для Зюзинской межрайонной прокуратуры города Москвы, в которой численность сотрудников 2020 года сравним с численностью 2019 года (таблица 2.2).
Таблица 2.2 — Структура персонала и обеспеченность кадрами Зюзинской межрайонной прокуратуры города Москвы
| Категория персонала | 2019 год | 2020 год | Отклонение (+,-) | Темп роста, % | Уд. вес персонала, % | ||
| 2019 год | 2020 год | ||||||
| Среднесписочная численность всего персонала, чел. -всего: | 44 | 45 | +1 | 102,27 | 100 | 100 | |
| в т.ч.: | |||||||
| Руководители | 10 | 11 | +1 | 110,00 | 22,73 | 24,44 | |
| Специалисты | 34 | 34 | 0 | 0 | 77,27 | 75,56 | |
Структура персонала по категориям представлена на рисунке 2.3.
Рисунок 2.3 — Распределение сотрудников по категориям в 2020 году
Из данных таблицы 2.2 видно, что среднесписочная численность персонала в 2020 году снизилась против 2019 на 1 человек, темп роста составил 102,27%. Из общего числа работающих в Зюзинской межрайонной прокуратуре города Москвы в 2020 году (45 человек) персонал распределяется по следующим категориям: руководители – 11 чел.; специалисты – 34 чел.
Структура Зюзинской межрайонной прокуратуры по группам выполняемых работниками функций приведена на рисунке 2.4.
Рисунок 2.4 — Структура Зюзинской межрайонной прокуратуры по группам выполняемых работниками функций
Для определения эффективности кадровой политики в кадровом учете существуют определенные коэффициенты, такие как коэффициенты приема и выбытия кадров, оборота кадров, текучести кадров, а также восполнения кадров.
Коэффициент приема кадров представляет собой отношение числа принятых за отчётный период работников к среднесписочному их числу. Так, в Зюзинской межрайонной прокуратуре он составлял: в 2016 г. – 27,8%, 2017 г. – 33,3%, 2018 г. – 16,7%, 2019 – 22,2%.
Коэффициент выбытия кадров – это отношение числа выбывших за отчетный период работников к среднесписочному их числу.
В Зюзинской межрайонной прокуратуре данный коэффициент составлял: в 2016 г. – 27,8%, 2017 г. – 33,3%, 2018 – 27,8%, 2019 – 11,1%.
Под коэффициентом оборота кадров понимается отношение суммарного числа принятых и уволенных за отчётный период к средней за этот период списочной численности работников.
Для Зюзинской межрайонной прокуратуры характерны следующие показатели: 2016 г. – 55,6%, 2017 г. – 66,7%, 2018 г. – 44,4%, 2019 – 33,3%.
Коэффициент текучести кадров – это отношение числа выбывших за отчетный период работников по собственному желанию, с разрешения администрации и уволенных за нарушение трудовой дисциплины к среднесписочному числу работников за тот же период:
Показатели Зюзинской межрайонной прокуратуры: 2016 г. – 16,7%, 2017 г. – 16,7%, 2018 г. – 11,1%, 2019 – 5,5%.
Коэффициент восполнения работников равный отношению числа принятых в отчётном периоде работников к числу выбывших:
В Зюзинской межрайонной прокуратуре данный коэффициент представлен следующими цифрами: 2016 г. – 100%, 2017 г. – 100%, 2018 г. – 60%, 2019 – 100%.
Показатели движения кадров в Зюзинской межрайонной прокуратуре можно представить в виде следующей таблицы (таблица 2.3.).
Таблица 2.3 — Показатели движения кадров в Зюзинской межрайонной прокуратуры города Москвы
| Показатель | 2016 год | 2017 год | 2018 год | 2019 год |
| Коэффициент приема кадров, % | 27,8 | 33,3 | 16,7 | 22,2 |
| Коэффициент выбытия кадров, % | 27,8 | 33,3 | 27,8 | 11,1 |
| Коэффициент оборота кадров, % | 55,6 | 66,7 | 44,4 | 33,3 |
| Коэффициент текучести кадров, % | 16,7 | 16,7 | 11,1 | 5,5 |
| Коэффициент восполнения, % | 100 | 100 | 60 | 100 |
Период должен быть по 20 год включительно!
Из данных, приведенных в таблице 2.3, следует, что в Зюзинской межрайонной прокуратуре города Москвы наблюдается высокая текучесть кадров, которая в последние два года имеет тенденцию к снижению. Далее проведем анализ работников Зюзинской межрайонной прокуратуры города Москвы по возрастному критерию.
Так, по возрастному составу соотношение работников следующее: от 20 до 30 лет – 5 (27,8%), от 30 до 40 лет – 8 (44,4%), от 40 до 50 лет – 4 (22,2%), от 50 до 60 лет – 1 (5,6%). Все оперативные работники (межрайонный прокурор, заместители, старшие помощники и помощники) а также специалисты имеют высшее юридическое образование.
Из числа оперативных работников соотношение полов следующее: 8 мужчин и 7 женщин, оба специалиста – женщины, водитель – мужчина. Важным критерием организации кадровой политики является также стаж работников.
Так, стаж работы в органах прокуратуры межрайонного прокурора составляет 17 лет, заместителей прокурора – 19 и 11 лет, старшего помощника прокурора, руководителя группы государственных обвинителей – 16 лет, у остальных старших помощников прокурора и ещё у двух помощников прокурора более 10 лет, у двух помощников прокурора от 5 до 10 лет, у других двух помощников прокурора от 3 до 5 лет, у одного помощника от 1 до 3 лет, у двух помощников прокурора до 1 года, менее 6 месяцев, проходят испытательный срок, у одного специалиста более 15 лет, у другого – менее 1 года, у водителя – более 15 лет.
Таким образом, структуру оперативных работников Зюзинской межрайонной прокуратуры города Москвы по стажу работы на прокурорских должностях можно представить в виде следующей таблицы (см. таблицу 2.4.).
Таблица 2.4 – Структура оперативных работников по стажу работы на прокурорских должностях
| Категория персонала | Количество работников | Удельный вес, % |
| До 1 года | 2 | 13,3 |
| От 1 до 3 лет | 1 | 6,7 |
| От 3 до 5 лет | 2 | 13,3 |
| От 5 до 10 лет | 2 | 13,3 |
| От 10 до 20 лет | 8 | 53,3 |
Важным показателем организации кадровой политики является наличие государственных, ведомственных и иных наград. Так, межрайонный прокурор, оба заместителя, 2 старших помощника прокурора и один помощник имеют ведомственные награды. Один из заместителей прокурора награжден высшей ведомственной наградой, нагрудным знаком «Почетный работник прокуратуры РФ». Коллектив Зюзинской межрайонной прокуратуры города Москвы признавался лучшим в группе крупных районных прокуратур по итогам 2009 г., 2010 г., 2012 г., 2013 г.
Вышеизложенные теоретические и статистические данные, а также показатели коэффициентов оборота кадров, текучести, их приема и выбытия, оказывают существенное влияние на результативность работы органов прокуратуры и на её качество. Для правильной организации кадровой политики необходимо учитывать как свой накопленный опыт кадровой политики, так и опыт других прокуратур и организаций.
Далее проанализируем результаты деятельности Зюзинской межрайонной прокуратуры города Москвы за 2020 год.
В соответствии с планом работы Зюзинской межрайонной прокуратуры города Москвы запланировано и своевременно проведено в 2020 году 33 мероприятия. Результаты проверок обсуждались на совещаниях, проводимых при прокуроре, освещались в средствах массовой информации, доводились письменной информацией до главы муниципального округа Зюзино, отражались в докладных записках, направляемых в прокуратуру области.
Во исполнение плановых мероприятий по координации деятельности правоохранительных органов по борьбе с преступностью на первое и второе полугодие 2020 года, а также во исполнение организационно-распорядительных документов прокуратуры Московской области проведено 6 координационных совещаний (АППГ-5), в том числе по вопросам противодействия коррупции-1 (АППГ-1) с рассмотрением на них 5 вопросов (АППГ-5).
Анализ работы Зюзинской межрайонной прокуратуры города Москвы в сфере соблюдения федерального законодательства в 2020 году свидетельствует о том, что в данном направлении проделана определенная работа, направленная на активизацию прокурорского надзора в данной сфере, на выявление и восстановление нарушенных прав граждан, а также на количественное и качественное улучшение результатов работы, о чем свидетельствует имеющиеся показатели (см. рисунок 2.5).
Рисунок 2.5 – Результаты деятельности Зюзинской межрайонной прокуратуры
Всего в отчетном периоде выявлено 894 нарушения законодательства (АППГ – 924). По выявленным нарушениям принесено 70 протестов на незаконные нормативные правовые акты (АППГ-65), протесты не отклонялись (АППГ-0); внесено 134 представления (АППГ – 155), по результатам рассмотрения которых к дисциплинарной ответственности привлечено 95 лиц (АППГ – 95), в целях предупреждения правонарушений объявлено 28 предостережений (АППГ – 27); в суды общей юрисдикции и арбитражный суд направлено 82 исковых заявления (АППГ – 89); по постановлениям прокурора к административной ответственности привлечено 92 лица (АППГ – 93); в порядке ст.37 УПК РФ направлено 2 материала (АППГ-3), по результатам «общенадзорных» проверок возбуждено 2 уголовных дела (АППГ – 3). Где вывод? По результатам анализа?
2.2 Анализ работы государственных служащих с обращениями граждан в Зюзинской межрайонной прокуратуре города Москвы
Где данные по обращениям граждан? Сколько? Каких? Приём граждан в Зюзинской межрайонной прокуратуре города Москвы осуществляется в рабочее время, без предварительной записи, в порядке очередности.
Приём по обращениям граждан руководством прокуратуры осуществляется согласно графика, по предварительной записи.
Обращение в Зюзинскую межрайонную прокуратуру города Москвы может быть направлено:
— через интернет-приёмную сайта прокуратуры г. Москвы;
— по почте;
— на личном приёме;
— по электронной почте;
— через ящик «Для обращений и заявлений» в учреждениях прокуратуры.
Обращения граждан – одно из наиболее важных средств осуществления и охраны прав личности, и прежде всего в этой работе органы прокуратуры руководствуются положениями федерального закона от 02.05.2006 № 59-ФЗ «О порядке рассмотрения обращений граждан Российской Федерации»[1].
Также в целях обеспечения централизованного и единообразного порядка разрешения обращений граждан Генеральной прокуратурой Российской Федерации издан приказ от 30 января 2013 г. № 45 «Об утверждении и введении в действие инструкции о порядке рассмотрения обращений и приема граждан в органах прокуратуры Российской Федерации».
Ежедневно рассматривая десятки обращений граждан, работники Зюзинской межрайонной прокуратуры города Москвы в числе прочего вынуждены:
– давать должную юридическую консультацию обратившемуся несмотря, на то, что зачастую обращение не относится к компетенции прокуратуры;
– давать правовую оценку действиям должностных лиц органов государственной власти и местного самоуправления, на решения или действия которых жалуется заявитель;
– контролировать надлежащее исполнение в установленный срок обращения, которое перенаправлено для рассмотрения в компетентный орган;
– вызывать заявителей на опрос в случаях, когда необходимо получить объяснение или если обращение не поддается чтению;
– истребовать документы и материалы, необходимые для разрешения обращения, привлекать специалистов и т. д.
О неудовлетворительности состояния работы в этой сфере свидетельствует опрос, проведенный НИИ Академии Генеральной прокуратуры РФ среди прокурорских работников. Количество опрошенных составило 160 человек.
Так, на вопрос «как часто рассматриваются в органах исполнительной власти Вашего субъекта РФ и органах местного самоуправления вопросы деятельности в сфере обеспечения права граждан РФ на обращение?» были получены следующие результаты (см. рисунок 2.6.).
Рисунок 2.6 – Результаты ответы на вопрос
Как показывают данные рисунка 2.6., 7 % ответили – раз в несколько лет, 12 % – раз в год, 8 % – раз в полгода, 73 % затруднились ответить.
Объяснения сотрудников о причинах распространенности нарушений законодательства, обеспечивающих реализацию права на обращение в органы государственной власти и органы местного самоуправления, оказались отчасти предсказуемыми (рисунок 2.7.).
Рисунок 2.7 — Результаты ответы на вопрос
Данные рисунка 2.7. показывают, что 31 % – не рассматриваются или формально рассматриваются вопросы о содействии в реализации конституционных прав и свобод граждан, а также нет должной реакции на их сообщения; 27 % – не рассматриваются рекомендации населения по совершенствованию законов и иных нормативных актов, направленных на улучшение деятельности государственных и муниципальных органов; 26,9 % – не рассматриваются или несвоевременно рассматриваются рекомендации населения по совершенствованию законов; 9,9 % – не рассматриваются или же всячески затягиваются сроки повторных обращений, поступивших от одного и того же лица, в которых обжалуются решения, принятые по предыдущему обращению.
Граждане в свою очередь на вопрос о том, какие встречаются нарушения при рассмотрении обращений граждан, ответили следующим образом (рисунок 2.8).
Рисунок 2.8 — Результаты ответы на вопрос
Необходимо убрать из анализа упоминания об органах самоуправления! Причет тут работа прокуратуры. Это государственный орган
Данные рисунка 2.8 показывают, что 39,4 % опрошенных встречали нарушения связанные с пересылкой обращений «по кругу», 36,4 % – пустые отписки чиновников; 33 % – нарушение сроков рассмотрения обращений; 20,6 % – не рассматриваются повторные обращения; 19,7 % – невозможно попасть на прием к руководителю, 17 % – грубость чиновников госструктур и органов местного самоуправления.
Примечательно, что граждане при ответе на вопрос деятельность каких государственных органов, по Вашему мнению, имеет наибольшее значение для реализации конституционного права на обращение первой указали прокуратуру.
Нельзя не отметить значимость для защиты конституционных прав граждан приказа Генерального прокурора РФ от 26.04.2012 № 181 «Об обеспечении участия прокуроров в гражданском процессе», положения которого требуют обязательного участия прокуроров в рассмотрении дел о выселении, восстановлении на работе, о возмещении вреда, причиненного жизни или здоровью (ч. 3 ст. 45 ГПК РФ); о защите избирательных прав (ст. 260.1 ГПК РФ); о лишении родительских прав, восстановлении в родительских правах, об ограничении родительских прав (ст. 70, 72, 73 СК РФ); о признании гражданина недееспособным, об ограничении дееспособности гражданина (ст. 284 ГПК РФ); и др. В приказе даются конкретные методические указания прокурорам, защищающим важнейшие вышеперечисленные конституционные права граждан.
В приказе от 27.11.2007 № 189 «Об организации прокурорского надзора за соблюдением конституционных прав граждан в уголовном судопроизводстве» внимание прокуроров обращается на необходимость на всех стадиях уголовного судопроизводства обеспечить действенный надзор за соблюдением гарантированных Конституцией РФ прав и свобод граждан в процессе применения к гражданам процессуальных мер принуждения (ст. 22); проверять законность и обоснованность задержания граждан, подозреваемых в совершении преступления (ст. 22); обжаловать все незаконные и необоснованные судебные решения по уголовным делам (ст. 50) и др.
Пристальное внимание уделяется защите конституционных прав групп населения, имеющих ограниченные возможности самостоятельной защиты этих прав.
К примеру, согласно приказу от 26 ноября 2007 № 188 «Об организации прокурорского надзора за исполнением законов о несовершеннолетних и молодежи» прокуроры строят свою работу исходя из того, что благосостояние и интересы детей имеют приоритетное значение во всех сферах жизни общества и государства.
Особое внимание уделяется вопросам защиты права ветеранов Великой Отечественной войны и членов их семей на обеспечение благоустроенными жилыми помещениями в соответствии с требованиями федерального закона от 12 января 1995 г. № 5-ФЗ «О ветеранах» и Указа Президента Российской Федерации от 7 мая 2008 г. № 714 «Об обеспечении жильем ветеранов Великой Отечественной войны 1941–1945 годов».
У органов прокуратуры имеются недостатки при осуществлении надзора за рядом отраслей законодательства. К примеру, в сфере надзора за соблюдением жилищно-коммунальных прав граждан только в 2020 г. было выявлено 248 984 нарушения, в том числе 7915 незаконных правовых актов.
Защищая права граждан в этой сфере, прокуроры принимают меры:
– к инициированию мероприятий по проведению конкурсов по отбору управляющих многоквартирными домами организаций;
– по принуждению управляющих организаций к осуществлению работ по содержанию и ремонту общего имущества многоквартирных домов;
– по пресечению взимания дополнительных платежей, не предусмотренных действующим законодательством.
Далее проанализируем результаты работы государственных служащих с обращениями граждан в Зюзинской межрайонной прокуратуре города Москвы (см. рисунок 2.9).
Рисунок 2.9 — Результаты работы государственных служащих с обращениями граждан в Зюзинской межрайонной прокуратуре города Москвы
В 2020 году в прокуратуру поступило 235 (АППГ-172) обращений, разрешено по существу 127 (АППГ-102) обращений, удовлетворено 29 (АППГ-26), направлено обращений в другие ведомства на разрешение 90 (АППГ-68).
Наибольшее количество обращений связано с нарушение федерального законодательства. Таких обращений разрешено 86 (АППГ-70), удовлетворено 25 (АППГ-21).
Наибольшее их количество о нарушении жилищного законодательства – 11 (АППГ-6), на нарушения в сфере законодательства об административных правонарушениях – 16 (АППГ-12), на нарушения в сфере ЖКХ – 9 (АППГ-3), о соблюдении законов об исполнительном производстве – 8 (АППГ-9), удовлетворено – 6 (АППГ-5), нарушении трудового законодательства -6 (АППГ9), удовлетворено -2 (АППГ-4).
На нарушения закона при приеме, регистрации и рассмотрении сообщений о преступлениях – 28 (АППГ-11), на нарушения при производстве предварительного следствия и дознания – 12 (АППГ-17).
В средствах массовой информации осуществлено 142 (АППГ-118) выступлений, в том числе 12 (АППГ-9) выступлений на сайте прокуратуры Московской области.
За 12 месяцев 2020 года прокуратурой района проведено 1 (АППГ-2) мероприятие, совместно с общественными объединениями. Проведено лекций, бесед, иных мероприятий по правовому просвещению -20 (АППГ-5).
В качестве проблем в работе государственных служащих с обращениями граждан в Зюзинской межрайонной прокуратуре города Москвы стоит выделить низкое количество обращений, которые были удовлетворены — всего 12% от общего количества обращений. Так же проблему составляет низкое количество выступлений государственных служащих Зюзинской межрайонной прокуратуре города Москвы на интернет-платформах, что затрудняет работу прокуратуры в условия пандемии, у прокуратуры отсутствует система внутреннего электронного документооборота, что так же усложняет работу служащих. Как был выявлен недостаток№3? Где опрос самих служащих? Как недостаток№2 связан с работой по обращениям граждан?
2.3 Разработка рекомендаций по совершенствованию работы государственных служащих Зюзинской межрайонной прокуратуре города Москвы с обращениями граждан и оценка их социально-экономической эффективности
Одним из недостатков работы с обращениями граждан в Зюзинской межрайонной прокуратуре города Москвы является отсутствие системы внутри электронного документа оборота. Это приводит к отсутствию возможности оперативно реагировать на обращения граждан. Сотрудники тратят много времени на поиск необходимых документов по обращениям граждан, регистрацию документов, бумажную переписку, ручной пересчет повторных обращений граждан. Чтобы решить данную проблему необходимо автоматизировать процесс документооборота, перевести всю документацию в электронную форму. Поэтому в работу Зюзинской межрайонной прокуратуре города Москвы предлагается внедрить программный модуль «Обращения граждан»[2]. Данная автоматизированная система отличается от обычного электронного документооборота.
Различие состоит в том, что Заявитель в системе «Обращения граждан» рассматривается не просто как входящий документ, а как заявитель с историей его обращений за весь период использования системы. Описание системы «Обращения граждан» представлены в таблице 2.5.
На установку и использование системы электронного документооборота «Обращение граждан» потребуются небольшие затраты. Расходы, связанные с внедрением системы следующие:
— оплата работы системного администратора;
— приобретение лицензионной версии и поддержка системного обновления программы.
Таблица 2.5 — Описание автоматизированной системы «Обращения граждан»
| Признак | Содержание |
| Функции | — регистрация обращения; — формирование необходимых для рассмотрения документов; — поиск нужной информации по заданным критериям |
| Плюсы | — возможность хранения базы данных в течение долгого периода в разрезе по задаваемым критериям; — использование различных справочников; — опция «Поиск по штрих-коду»; — имеется возможность использовать такие опции, как «Ввод резолюции», «Просмотр дел», «Статистика», «Отчеты». |
Результатом внедрения данной программы будут:
— уменьшатся риски срыва сроков обработки обращения, так как все этапы работы по обращению строго контролируются;
— обеспечится строгое соблюдение норм Федерального закона от 2 мая 2006 года №59-ФЗ «О порядке рассмотрения обращений граждан Российской Федерации», так как программный модуль будет содержать всю необходимую нормативно-правовую базу[3];
— обеспечится конфиденциальность информации по обращениям с учетом гибкого разграничения прав доступа;
— упростится и ускорится формирование отчетности по работе с обращениями и поручениями.
Таким образом, внедрение программы «Обращения граждан» обеспечит ускоренное информационное взаимодействие, что в свою очередь повысит эффективность управления в целом.
В Зюзинской межрайонной прокуратуре города Москвы отсутствует электронная приемная. Поэтому жители района направляют свои обращения в прокуратуру. Специалисты прокуратуры, рассмотрев обращение, перенаправляют его непосредственно главному прокурору. В связи с большой загруженностью главного прокурора обращения рассматриваются в течение длительного срока. В связи с этим необходимо организовать интернет-приемную Зюзинской межрайонной прокуратуры города Москвы, чтобы любой совершеннолетний гражданин мог обратиться через сайт непосредственно в прокуратуру района.
При этом электронные обращения граждан напрямую к Зюзинской межрайонной прокуратуре города Москвы и ответы на обращения могут быть зарегистрированы автоматически специалистом сектора по работе с населением, которому должен быть предоставлен доступ на сайт. Это мероприятие снизит проблемы, связанные с организацией работы с обращениями граждан, а также предоставит возможность главному прокурору проконтролировать эффективность работы сектора по работе с населением и время, за которое происходит ответ на обращение.
Описание системы интернет-приемной представлено в таблице 2.6.
Таблица 2.6 — Описание интернет-приемной Зюзинской межрайонной прокуратуры города Москвы
| Признак | Содержание |
| Организация | — расчет необходимого объема финансирования; — определение ответственного за работу; — обучение сотрудников работе с новым интернет ресурсом; — создание соответствующей нормативно — правовой базы в системе. |
| Функции | — создание соответствующей нормативно — правовой базы в системе. Функции — регистрация обращения с учетом их содержания; — переадресация обращений конкретным подразделениям; — контроль за ходом рассмотрения обращений и его результатами, в том числе и со стороны граждан. |
| Нормативно-правовая база | — Федеральный закон от 02.05.25006 г. № 59-ФЗ «О порядке рассмотрения обращений граждан Российской Федерации»; — Федеральный закон от 09.02.2009 г. № 8-ФЗ «Об обеспечении доступа к информации о деятельности государственных органов и органов местного самоуправления». |
При разработке электронной приемной необходимо уделить внимание обратной связи Зюзинской межрайонной прокуратуре города Москвы. Для этого необходимо разработать и разместить на сайте прокуратуры в разделе обратной связи социологические опросы на тему «Оценка качества работы с обращениями граждан».
Данная функция позволит проводить регулярный статистический анализ результатов, в целях выявления и разрешения отдельных проблем и вопросов, связанных с неудовлетворенностью граждан оказываемыми услугами. Также в целях совершенствования работы с обращениями граждан предлагается создать графу на сайте Зюзинской межрайонной прокуратуры города Москвы «Есть идея?». Данное онлайн-мнение поспособствует снижению жалоб граждан района, активному взаимодействию гражданского общества посредством сети интернет.
Так как Интернет-приемная позволит оперативно ответить на обращение гражданина через сеть Интернет, соответственно, будут сокращены расходы на оправление почтовых уведомлений о регистрации обращения и о принятии решения.
Зюзинская межрайонная прокуратура города Москвы сможет снизить собственные расходы на рассылку почтовых уведомлений. Нельзя не отметить ситуацию, сложившуюся в городе под воздействием пандемии. Коронавирусная инфекция повлияла на работу всех сфер жизнедеятельности города, в том числе и деятельность Зюзинской межрайонной прокуратуры города Москвы.
Сотрудники временно ограничили личный прием граждан. Заявления и обращения граждан теперь ведутся преимущественно в письменной форме, что существенно снижает эффективность работы с обращениями граждан в целом.
В качестве решения данной проблемы предлагается:
— организовать прием обращений по телефону;
— организовать прием обращений в электронном виде не только на официальном сайте, но и через социальные сети, такие, как ВКонтакте, Одноклассники, Instagram;
— организовать прием граждан в режиме-онлайн при помощи видеоконференцсвязи[4].
Организация видеосвязи позволит сотрудникам Зюзинской межрайонной прокуратуры города Москвы осуществлять прием, рассматривать обращения граждан, решать возникающие вопросы, вовремя реагировать на поступающие жалобы, что существенно повысит доверие граждан к Зюзинской межрайонной прокуратуре города Москвы.
Денежные затраты, необходимые для реализации предложений являются незначительными, в то же время необходимыми, так как в работе с обращениями граждан в ближайшем будущем будут достигнуты следующие результаты:
— сокращение времени обработки обращений;
— повышение эффективности работы сотрудников Зюзинской межрайонной прокуратуре города Москвы;
— сокращение общего числа обращений;
— сокращение числа повторных обращений;
— мгновенное реагирование работников Зюзинской межрайонной прокуратуре города Москвы на полученное обращение;
— повышение удовлетворенности населения качеством работы Зюзинской межрайонной прокуратуры города Москвы.
Таким образом, внедрение данных рекомендаций повысит эффективность работы с обращениями граждан, что в целом повысит уровень доверия граждан к органам прокуратуры.
В качестве метода определения социально-экономической эффективности проекта выбран метод экспертной оценки.
В состав экспертов входит 7 человек:
— Заместитель прокурора;
— Начальник управления по надзору за следствием, дознанием и оперативно-розыскной деятельностью;
— Начальник отдела по надзору за исполнением законодательства о противодействии коррупции;
— Начальник отдела правовой статистики, информационных технологий и защиты информации;
— Начальник отдела по обеспечению участия прокуроров в гражданском и арбитражном процессе;
— Начальник отдела планирования труда, финансового, бухгалтерского учета и отчетности;
— Специалист отдела кадровой службы.
Экспертные социальные показатели, которые будут улучшены в результате реализации проекта:
- – улучшение выполнения сотрудниками своих функциональных обязанностей;
- — сокращение времени обработки обращений;
- – эффективность работы с обращениями граждан;
- — повышение уровня доверия граждан. И где тут экономический критерий?
Таблица 2.7 — Результаты экспертного ранжирования
| Результаты экспертного ранжирования | |||||||
| Ранжируемые показатели | NN экспертов | ||||||
| 1 | 2 | 3 | 4 | 5 | 6 | 7 | |
| 1 | 1 | 2 | 1 | 1 | 3 | 1 | 2 |
| 2 | 3 | 3 | 3 | 3 | 1 | 3 | 3 |
| 3 | 2 | 1 | 4 | 2 | 4 | 4 | 4 |
| 4 | 4 | 4 | 2 | 4 | 2 | 2 | 1 |
Для нахождения согласованной оценки группы экспертов определяется сумма весов оценок по каждому показателю. Это отображено в таблице 2.8.
Таблица 2.8 — Расчет сумм весов оценок экспертных оценок
| Результаты экспертного ранжирования | Сумма | |||||||
| Ранжируемые показатели | NN экспертов | |||||||
| 1 | 2 | 3 | 4 | 5 | 6 | 7 | ||
| 1 | 1 | 2 | 1 | 1 | 3 | 1 | 2 | 11 |
| 2 | 3 | 3 | 3 | 3 | 1 | 3 | 3 | 19 |
| 3 | 2 | 4 | 4 | 2 | 4 | 4 | 4 | 24 |
| 4 | 4 | 1 | 2 | 4 | 2 | 2 | 1 | 16 |
Таблица 2.9 — Определение согласованного ранжирования
| Согласованная оценка экспертов | NN экспертов | Ранжированные суммы по возрастанию | ||||||
| 1 | 2 | 3 | 4 | 5 | 6 | 7 | ||
| 1 | 1 | 2 | 1 | 1 | 3 | 1 | 2 | 11 |
| 4 | 4 | 1 | 2 | 4 | 2 | 2 | 1 | 16 |
| 2 | 3 | 3 | 3 | 3 | 1 | 3 | 3 | 19 |
| 3 | 2 | 4 | 4 | 2 | 4 | 4 | 4 | 24 |
Результат ранжирования, который представляет согласованную оценку экспертов:
1 – улучшение выполнения сотрудниками своих функциональных обязанностей;
4 — повышение уровня доверия граждан;
2 — сокращение времени обработки обращений;
3 – эффективность работы с обращениями граждан.
Наивысшую оценку получил показатель «эффективность работы с обращениями граждан», а наименьшую – «улучшение выполнения сотрудниками своих функциональных обязанностей».
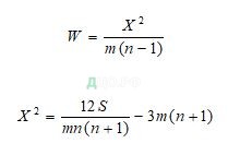
Произведем оценку степени согласованности мнений экспертов. Данная оценка свидетельствует о значимости данных показателей и производится путем вычисления коэффициента конкордации (согласования) по формуле (1) и (2):
(1) (2)
где, Х-квадрат;
m – количество экспертов;
n – количество эффектов;
S – сумма квадратов весов оценок.
Полученный коэффициент W оценивается по шкале от 0 до 1.
Х2 = (12*1314)/(7*4*(4+1)) – 3*7*(4+1) = (15768/140) – 105 = 7,63
W = 7.63/ (7*(4-1) = 0.21
Расчет некорректный! Показатель ниже 0,5 говорит о несогласованности мнений экспертов
Полученное значение выше 0, что означает положительную согласованность мнений экспертов и согласованное ранжирование реализуемо на практике. Величина коэффициента согласования W=0,21 указывает на положительное согласование мнений группы экспертов.
Полученное согласованное ранжирование устойчивое, что свидетельствует о социально-экономической эффективности предлагаемых проектных рекомендаций.
Заключение
По результатам изучения понятия и сущности работы государственных служащих с обращениями граждан в органах Прокуратуры РФ был сделан вывод, что обращение представляет собой волеизъявление индивида, выражающееся в конкретных действиях, имеющих письменную или устную форму, соответствующую правилам, закреплённым в нормативно-правовых актах, направляемое в органы государства или органы местного самоуправления, в видах, необходимых для того, чтобы реализовать, предоставить, защитить или восстановить права и свободы.
Под обращениями граждан понимаются: предложения, заявления, жалобы, ходатайства, коллективные обращения и петиции граждан.
В ходе решения второй задачи было установлено, что при рассмотрении и разрешении обращений и заявлений прокуроры и следователи устанавливают правонарушение и правонарушителей, что тем самым позволяет установить, в каких органах государственной власти и какими должностными лицами допущены правонарушения. Информацией, которой владеют органы прокуратуры являются сведениями для проведения надзорной проверки. Данная информация позволяет улучшить работу органов прокуратуры, увеличивает ответственность должностных лиц при выполнении своих должностных обязанностей.
По результатам предварительного рассмотрения обращения в органах прокуратуры должно быть принято одно из следующих решений: о принятии к разрешению; об оставлении без разрешения; о передаче на разрешение в нижестоящие органы прокуратуры; о направлении в другие органы; о прекращении рассмотрения обращения; о приобщении к ранее поступившему обращению; о возврате заявителю.
В качестве объекта исследования выступает Зюзинская межрайонная прокуратура города Москвы. Поднадзорная территория Зюзинской межрайонной прокуратуры города Москвы включает районы ЮЗАО, а именно: Зюзино, Котловка, Южное Бутово, Северное Бутово.
В ходе решения третьей задачи было выделено: по состоянию на 01.01.2021 г. штат Зюзинской межрайонной прокуратуры города Москвы составил 45 человек, из них: руководство (административный персонал) – 11 чел.; основной персонал – 34 чел. Анализ кадрового состава и его движения позволил сделать вывод, что в Зюзинской межрайонной прокуратуре города Москвы наблюдается высокая текучесть кадров, которая в последние два года имеет тенденцию к снижению. По возрастному составу соотношение работников следующее: от 20 до 30 лет – 5 (27,8%), от 30 до 40 лет – 8 (44,4%), от 40 до 50 лет – 4 (22,2%), от 50 до 60 лет – 1 (5,6%). Все оперативные работники (межрайонный прокурор, заместители, старшие помощники и помощники) а также специалисты имеют высшее юридическое образование. Из числа оперативных работников соотношение полов следующее: 8 мужчин и 7 женщин, оба специалиста – женщины, водитель – мужчина. Важным критерием организации кадровой политики является также стаж работников.
Так же была проанализирована работа государственных служащих с обращениями граждан в Зюзинской межрайонной прокуратуре города Москвы: приём граждан в Зюзинской межрайонной прокуратуре города Москвы осуществляется в рабочее время, без предварительной записи, в порядке очередности.
Приём по обращениям граждан руководством прокуратуры осуществляется согласно графика, по предварительной записи. Обращение в Зюзинскую межрайонную прокуратуру города Москвы может быть направлено: через интернет-приёмную сайта прокуратуры г. Москвы; по почте; на личном приёме; по электронной почте; через ящик «Для обращений и заявлений» в учреждениях прокуратуры.
В качестве проблем в работе государственных служащих с обращениями граждан в Зюзинской межрайонной прокуратуре города Москвы стоит выделить низкое количество обращений, которые были удовлетворены — всего 12% от общего количества обращений почему так и не было выявлено в анализе?. Так же проблему составляет низкое количество выступлений государственных служащих Зюзинской межрайонной прокуратуре города Москвы на интернет-платформах, что затрудняет работу прокуратуры в условия пандемии, у прокуратуры отсутствует система внутреннего электронного документооборота, что так же усложняет работу служащих.
Для оценки эффективности работы с обращениями граждан были проанализированы результаты опроса НИИ Академии Генеральной прокуратуры РФ среди прокурорских работников. Так, 39,4 % опрошенных встречали нарушения связанные с пересылкой обращений «по кругу», 36,4 % – пустые отписки чиновников; 33 % – нарушение сроков рассмотрения обращений; 20,6 % – не рассматриваются повторные обращения; 19,7 % – невозможно попасть на прием к руководителю, 17 % – грубость чиновников госструктур и органов местного самоуправления.
Одним из недостатков работы с обращениями граждан в Зюзинской межрайонной прокуратуре города Москвы является отсутствие систем внутри электронного документа оборота. Это приводит к отсутствию возможности оперативно реагировать на обращения граждан. Сотрудники тратят много времени на поиск необходимых документов по обращениям граждан, регистрацию документов, бумажную переписку, ручной пересчет повторных обращений граждан.
В целях устранения данных проблем в работе предлагается автоматизировать процесс документооборота, перевести всю документацию в электронную форму путем внедрения программного модуля «Обращения граждан».
Для повышения эффективности государственных служащих, осуществляющих работу с обращениями граждан, предлагается внедрить институт наставничества.
Список использованных источников
- Конституция Российской Федерации (принята всенародным голосованием 12.12.1993 с изменениями, одобренными в ходе общероссийского голосования 01.07.2020) // СПС «КонсультантПлюс»
- Кодекс Российской Федерации об административных правонарушениях от 30.12.2001 N 195-ФЗ (ред. от 30.12.2021) (с изм. и доп., вступ. в силу с 10.01.2022) // СПС «КонсультантПлюс»
- Федеральный закон от 02.05.2006 N 59-ФЗ (ред. от 27.12.2018) «О порядке рассмотрения обращений граждан Российской Федерации» // СПС «КонсультантПлюс»
- Федеральный закон от 17.01.1992 N 2202-1 (ред. от 01.07.2021) «О прокуратуре Российской Федерации» (с изм. и доп., вступ. в силу с 01.09.2021) // СПС «КонсультантПлюс»
- Федеральный закон от 27.07.2006 N 152-ФЗ (ред. от 02.07.2021) «О персональных данных» // СПС «КонсультантПлюс»
- Федеральный закон от 09.02.2009 г. N 8-ФЗ «Об обеспечении доступа к информации о деятельности органов государственной власти и органов местного самоуправления» // СПС «КонсультантПлюс»
- Федеральный закон от 27.05.2003 N 58-ФЗ (ред. от 02.07.2021) «О системе государственной службы Российской Федерации» // СПС «КонсультантПлюс»
- Приказ Генпрокуратуры России от 30.01.2013 N 45 (ред. от 28.09.2021) «Об утверждении и введении в действие Инструкции о порядке рассмотрения обращений и приема граждан в органах прокуратуры Российской Федерации» // СПС «КонсультантПлюс»
- Агафонова М.Н. Совершенствование организации работы с обращениями граждан в условиях цифровизации экономики // Вестник молодежной науки Алтайского государственного аграрного университета. 2019. № 1. С. 99-102.
- Балахонцев Н.И. Развитие института работы с обращениями граждан в историческом аспекте // История российской государственности. 2021. С. 465-471.
- Беркович Е.Ф. Прокурорский надзор за исполнением законов. — М.: Экспертное бюро М, 2018. — 185 с.
- Богданова П.С. Правовое обеспечение работы с обращениями граждан в Российской Федерации // Научный Лидер. 2022. № 2 (47). С. 134-137.
- Веретенников Н.Н., Ковтун Д.В. Обращения граждан в Российской Федерации: понятие, виды, законодательное регулирование // Наука и образование: новое время. 2021. № 3 (44). С. 1-8.
- Корепанова Н.А. Особенности системы работы с обращениями граждан Российской Федерации: правовой аспект // Пенсионный фонд России: опыт, традиции, инновации. №4. С. 147-155.
- Кукарина Ю.М. Законодательное регулирование работы с обращениями граждан в Российской Федерации // Делопроизводство. №5. С. 358-361.
- Матвеева А.Б. Совершенствование деятельности органов государственной власти в сфере работы с обращениями граждан // Современная наука: актуальные вопросы, достижения и инновации. 2021. С. 33-36.
- Маякова Е.О. Применение современных информационных технологий при работе с обращениями граждан // Актуальные проблемы административного и административно-процессуального права (Сорокинские чтения). 2021. С. 335-339.
- Мельников Н. Участие прокурора в суде – важное условие соблюдения конституционных прав граждан // Законность. 2019. № 8. С. 23-25.
- Нилов Д. Г. Обращения граждан: понятие и виды // Проблемы укрепления законности и правопорядка: наука, практика, тенденции. № 3. С. 12-18
- Обращения граждан: организация и порядок рассмотрения: Сб. норм. актов / сост. М.А. Миронов, В.Н. Крылов. — М.: Юрид. лит., 2017. — 429 с.
- Паламарчук А.Н., Шалаев В.В. Правовые аспекты работы с обращениями граждан в органах прокуратуры Российской Федерации // Актуальные проблемы административного и финансового права. №8. С. 78-81.
- Прокурорский надзор в Российской Федерации: Учебник / под ред. А.А. Чувилева. — М.: Юрист, 2018. — 453 с.
- Прокурорский надзор: Курс лекций и практикум / под ред. Ю.Е. Винокурова. М.: Экзамен, 2019. 542 с.
- Российский прокурорский надзор: Учебник для ВУЗов / под ред. А.Я. Сухарева. М.: Норма, 2019. 479 с.
- Савоськин А.В. Обращения граждан как правовая категория // Научный ежегодник института философии и права Уральского отделения Российской академии наук. 2017. № 3. С. 85—99.
- Самохина Г.В. Особенности системы работы с обращениями граждан Российской Федерации // Актуальные проблемы науки и техники. 2021. №8. С. 23-24.
- Селютин В.И., Постников А.А. Государственное управление и местное самоуправление практика работы с институтом обращений граждан в Воронежской области // Вестник Воронежского института экономики и социального управления. 2021. № 3. С. 4-9.
- Семочкина Е.В. Формирование системы совместной работы исполнительных органов государственной власти и депутатов по рассмотрению обращений граждан // Ars Administrandi. Искусство управления. 2021. № 2. С. 191-203.
- Смирнов А. В. Государственная служба в органах прокуратуры в системе государственной службы в правоохранительной сфере. Пенитенциарная наука. № 1 (53). С. 96–106.
- Сычанина С.Н. Формирование концепции ответственного подхода к организации работы с обращениями граждан // Международный журнал гуманитарных и естественных наук. 2021. № 1-2 (52). С. 152-154.
- Тимошенко И. В. Органы и должностные лица прокуратуры как субъекты защиты и субъекты нарушения конституционного права граждан на обращение // Lex russica. № 4. С. 33–43.
- Трофимов Е.А. К вопросу о применении интеллектуальных систем для работы с обращениями граждан в органах государственной власти // ЛОМОНОСОВ-2020. 2020. №4. С. 74.
- Тухватулина Е.Е. Организация работы с обращениями граждан в органах прокуратуры // Трибуна ученого. 2020. № 12. С. 731-738.
- Чемлева Д.А., Олейникова А.Я. Роль института права граждан на обращение в органы власти // Инновации. Наука. Образование. 2021. № 34. С. 1675-1679.
- Чертова М.С. О некоторых особенностях работы с обращениями граждан в органы власти в условиях пандемии COVID-19 // Молодежь — Барнаулу. 2021. С. 707-708.
- Чурилов А.В. Защита прав и свобод человека и гражданина средствами прокурорского надзора: Учеб. пособие. — М. ИПК РК Генер. прокуратуры РФ, 2019. — 90 с.
- Шаехова Р.Р. Цифровые технологии в работе с обращениями граждан // Документ в современном обществе: соединяя пространство и время. 2021. №8. С. 99-102.
- Якубович Н.А. Участники уголовного процесса и прокурорский надзор за обеспечением органами расследования их прав и законных интересов. — М., 2019. — 115 с.
Страницы 1 2
или напишите нам прямо сейчас:
⚠️ Пожалуйста, пишите в MAX или заполните форму выше.
В России Telegram и WhatsApp блокируют - сообщения могут не дойти.
