Вид работы: Задание
Предмет: Теоретические основы электротехники
или напишите нам прямо сейчас:
⚠️ Пожалуйста, пишите в MAX или заполните форму выше.
В России Telegram и WhatsApp блокируют - сообщения могут не дойти.
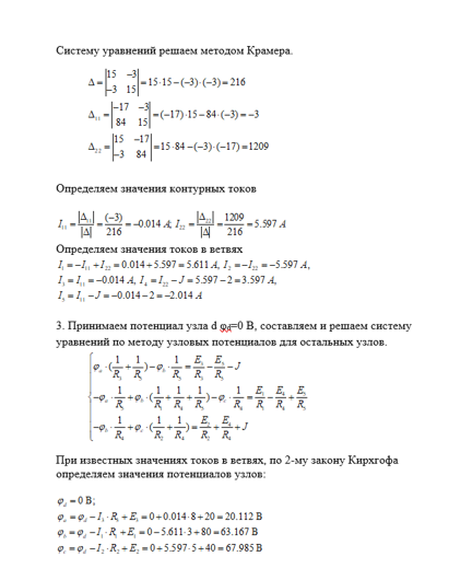
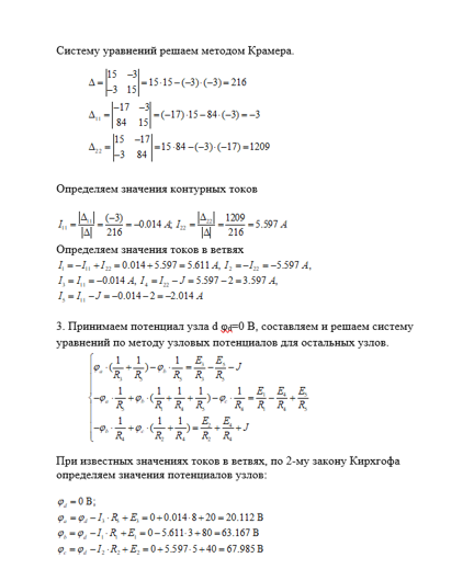
- Составить уравнения по законом Кирхгофа.
- Рассчитать токи методом контурных токов.
- Составить уравнения по методу узловых потенциалов. Проверить их выполнение.
- Составить уравнение баланса мощности, проверить выполнение.
- Определить показания приборов.
Прикрепленные файлы:
или напишите нам прямо сейчас:
⚠️ Пожалуйста, пишите в MAX или заполните форму выше.
В России Telegram и WhatsApp блокируют - сообщения могут не дойти.
Прикрепленные файлы: |
|
|---|---|
|
Администрация сайта не рекомендует использовать бесплатные работы для сдачи преподавателю. Эти работы могут не пройти проверку на уникальность. Узнайте стоимость уникальной работы, заполните форму ниже: Узнать стоимость |
|
Скачать файлы: |
|
|
|


