Заявка на расчет
Меню Услуги

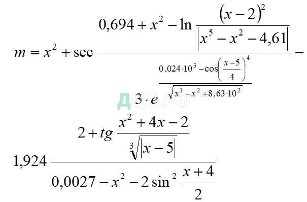
Задание на лабораторную работу «Технология работы в среде универсального пакета для проведения математических вычислений MathCAD». Вариант 33

Вид работы:
Тема:

Создать текстовую область, в которой создать надпись следующего содержания:

  • Лабораторная работа №1
    Освоение приемов работы в среде MathCAD
    Группа: шифр группы
    Студент: фамилия, инициалы
    Вариант: №
    Выполнение
    Защита

Вычислить значения сложного выражения при двух заданных значениях аргумента х1 и х2 (таблица 3).

или напишите нам прямо сейчас:

⚠️ Пожалуйста, пишите в MAX или заполните форму выше.

В России Telegram и WhatsApp блокируют - сообщения могут не дойти.

Написать в MAXНаписать в TelegramНаписать в WhatsApp
  • Выполнить табуляцию функции на отрезке от а до b (таблица 4).
  • Построить график протабулированной функции на отрезке от а до b.
  • Вычислить сумму и произведение элементов результирующего вектора.
  • Вычислить значения первой производной на концах отрезка, а также определенный интеграл на заданном отрезке.

или напишите нам прямо сейчас:

⚠️ Пожалуйста, пишите в MAX или заполните форму выше.

В России Telegram и WhatsApp блокируют - сообщения могут не дойти.

Написать в MAXНаписать в TelegramНаписать в WhatsApp

Прикрепленные файлы:

Администрация сайта не рекомендует использовать бесплатные работы для сдачи преподавателю. Эти работы могут не пройти проверку на уникальность. Узнайте стоимость уникальной работы, заполните форму ниже: Узнать стоимость
Скачать файлы:

Комментарии

Оставить комментарий

 

Ваше имя:

Ваш E-mail:

Ваш комментарий

Валера 14 минут назад

добрый день. Необходимо закрыть долги за 2 и 3 курсы. Заранее спасибо.

Иван, помощь с обучением 12 минут назад

Валерий, здравствуйте! Мы можем Вам помочь. Прошу Вас прислать всю необходимую информацию на почту и написать что необходимо выполнить. Я посмотрю описание к заданиям и напишу Вам стоимость и срок выполнения. Информацию нужно прислать на почту 3227505@mail.ru

Fedor 2 часа назад

Здравствуйте, сколько будет стоить данная работа и как заказать?

Иван, помощь с обучением 2 часа назад

Fedor, здравствуйте! Мы можем Вам помочь. Прошу Вас прислать всю необходимую информацию на почту и написать что необходимо выполнить. Я посмотрю описание к заданиям и напишу Вам стоимость и срок выполнения. Информацию нужно прислать на почту 3227505@mail.ru

Алина 4 часа назад

Сделать презентацию и защитную речь к дипломной работе по теме: Источники права социального обеспечения

Иван, помощь с обучением 4 часа назад

Алина, здравствуйте! Мы можем Вам помочь. Прошу Вас прислать всю необходимую информацию на почту и написать что необходимо выполнить. Я посмотрю описание к заданиям и напишу Вам стоимость и срок выполнения. Информацию нужно прислать на почту 3227505@mail.ru

Алена 7 часов назад

Добрый день! Учусь в синергии, факультет экономики, нужно закрыт 2 семестр, общ получается 7 предметов! 1.Иностранный язык 2.Цифровая экономика 3.Управление проектами 4.Микроэкономика 5.Экономика и финансы организации 6.Статистика 7.Информационно-комуникационные технологии для профессиональной деятельности.

Иван, помощь с обучением 7 часов назад

Алена, здравствуйте! Мы можем Вам помочь. Прошу Вас прислать всю необходимую информацию на почту и написать что необходимо выполнить. Я посмотрю описание к заданиям и напишу Вам стоимость и срок выполнения. Информацию нужно прислать на почту 3227505@mail.ru

Игорь Петрович 10 часов назад

К утру необходимы материалы для защиты диплома - речь и презентация (слайды). Сам диплом готов, пришлю его Вам по запросу!

Иван, помощь с обучением 10 часов назад

Игорь Петрович, здравствуйте! Мы можем Вам помочь. Прошу Вас прислать всю необходимую информацию на почту и написать что необходимо выполнить. Я посмотрю описание к заданиям и напишу Вам стоимость и срок выполнения. Информацию нужно прислать на почту 3227505@mail.ru

Инкогнито 1 день назад

У меня есть скорректированный и согласованный руководителем, план ВКР. Напишите, пожалуйста, порядок оплаты и реквизиты.

Иван, помощь с обучением 1 день назад

Инкогнито, здравствуйте! Мы можем Вам помочь. Прошу Вас прислать всю необходимую информацию на почту и написать что необходимо выполнить. Я посмотрю описание к заданиям и напишу Вам стоимость и срок выполнения. Информацию нужно прислать на почту 3227505@mail.ru

Илья 1 день назад

Здравствуйте) нужен отчет по практике. Практику прохожу в доме-интернате для престарелых и инвалидов. Все четыре задания объединены одним отчетом о проведенных исследованиях. Каждое задание направлено на выполнение одной из его частей. Помогите!

Иван, помощь с обучением 1 день назад

Илья, здравствуйте! Мы можем Вам помочь. Прошу Вас прислать всю необходимую информацию на почту и написать что необходимо выполнить. Я посмотрю описание к заданиям и напишу Вам стоимость и срок выполнения. Информацию нужно прислать на почту 3227505@mail.ru

Alina 2 дня назад

Педагогическая практика, 4 семестр, Направление: ППО Во время прохождения практики Вы: получите представления об основных видах профессиональной психолого-педагогической деятельности; разовьёте навыки использования современных методов и технологий организации образовательной работы с детьми младшего школьного возраста; научитесь выстраивать взаимодействие со всеми участниками образовательного процесса.

Иван, помощь с обучением 2 дня назад

Alina, здравствуйте! Мы можем Вам помочь. Прошу Вас прислать всю необходимую информацию на почту и написать что необходимо выполнить. Я посмотрю описание к заданиям и напишу Вам стоимость и срок выполнения. Информацию нужно прислать на почту 3227505@mail.ru

Влад 3 дня назад

Здравствуйте. Только поступил! Операционная деятельность в логистике. Так же получается 10 - 11 класс заканчивать. То-есть 2 года 11 месяцев. Сколько будет стоить семестр закончить?

Иван, помощь с обучением 3 дня назад

Влад, здравствуйте! Мы можем Вам помочь. Прошу Вас прислать всю необходимую информацию на почту и написать что необходимо выполнить. Я посмотрю описание к заданиям и напишу Вам стоимость и срок выполнения. Информацию нужно прислать на почту 3227505@mail.ru

Полина 3 дня назад

Требуется выполнить 3 работы по предмету "Психология ФКиС" за 3 курс

Иван, помощь с обучением 3 дня назад

Полина, здравствуйте! Мы можем Вам помочь. Прошу Вас прислать всю необходимую информацию на почту и написать что необходимо выполнить. Я посмотрю описание к заданиям и напишу Вам стоимость и срок выполнения. Информацию нужно прислать на почту 3227505@mail.ru

Инкогнито 4 дня назад

Здравствуйте. Нужно написать диплом в короткие сроки. На тему Анализ финансового состояния предприятия. С материалами для защиты. Сколько будет стоить?

Иван, помощь с обучением 4 дня назад

Инкогнито, здравствуйте! Мы можем Вам помочь. Прошу Вас прислать всю необходимую информацию на почту и написать что необходимо выполнить. Я посмотрю описание к заданиям и напишу Вам стоимость и срок выполнения. Информацию нужно прислать на почту 3227505@mail.ru

Студент 4 дня назад

Нужно сделать отчёт по практике преддипломной, дальше по ней уже нудно будет сделать вкр. Все данные и все по производству имеется

Иван, помощь с обучением 4 дня назад

Студент, здравствуйте! Мы можем Вам помочь. Прошу Вас прислать всю необходимую информацию на почту и написать что необходимо выполнить. Я посмотрю описание к заданиям и напишу Вам стоимость и срок выполнения. Информацию нужно прислать на почту 3227505@mail.ru

Олег 5 дней назад

Преддипломная практика и ВКР. Проходила практика на заводе, который занимается производством электроизоляционных материалов и изделий из них. В должности менеджера отдела сбыта, а также занимался продвижением продукции в интернете. Также , эту работу надо связать с темой ВКР "РАЗРАБОТКА СТРАТЕГИИ ПРОЕКТА В СФЕРЕ ИТ".

Иван, помощь с обучением 5 дней назад

Олег, здравствуйте! Мы можем Вам помочь. Прошу Вас прислать всю необходимую информацию на почту и написать что необходимо выполнить. Я посмотрю описание к заданиям и напишу Вам стоимость и срок выполнения. Информацию нужно прислать на почту 3227505@mail.ru

Анна 5 дней назад

сколько стоит вступительные экзамены русский , математика, информатика и какие условия?

Иван, помощь с обучением 5 дней назад

Анна, здравствуйте! Мы можем Вам помочь. Прошу Вас прислать всю необходимую информацию на почту и написать что необходимо выполнить. Я посмотрю описание к заданиям и напишу Вам стоимость и срок выполнения. Информацию нужно прислать на почту 3227505@mail.ru

Владимир Иванович 5 дней назад

Хочу закрыть все долги до 1 числа также вкр + диплом. Факультет информационных технологий.

Иван, помощь с обучением 5 дней назад

Владимир Иванович, здравствуйте! Мы можем Вам помочь. Прошу Вас прислать всю необходимую информацию на почту и написать что необходимо выполнить. Я посмотрю описание к заданиям и напишу Вам стоимость и срок выполнения. Информацию нужно прислать на почту 3227505@mail.ru

Василий 6 дней назад

сколько будет стоить полностью закрыть сессию .туда входят Информационные технологий (Контрольная работа, 3 лабораторных работ, Экзаменационный тест ), Русский язык и культура речи (практические задания) , Начертательная геометрия ( 3 задачи и атестационный тест ), Тайм менеджмент ( 4 практических задания , итоговый тест)

Иван, помощь с обучением 6 дней назад

Василий, здравствуйте! Мы можем Вам помочь. Прошу Вас прислать всю необходимую информацию на почту и написать что необходимо выполнить. Я посмотрю описание к заданиям и напишу Вам стоимость и срок выполнения. Информацию нужно прислать на почту 3227505@mail.ru

Марк неделю назад

Нужно сделать 2 задания и 1 итоговый тест по Иностранный язык 2, 4 практических задания и 1 итоговый тест Исследования рынка, 4 практических задания и 1 итоговый тест Менеджмент, 1 практическое задание Проектная деятельность (практикум) 1, 3 практических задания Проектная деятельность (практикум) 2, 1 итоговый тест Проектная деятельность (практикум) 3, 1 практическое задание и 1 итоговый тест Проектная деятельность 1, 3 практических задания и 1 итоговый тест Проектная деятельность 2, 2 практических заданий и 1 итоговый тест Проектная деятельность 3, 2 практических задания Экономико-правовое сопровождение бизнеса какое время займет и стоимость?

Иван, помощь с обучением неделю назад

Марк, здравствуйте! Мы можем Вам помочь. Прошу Вас прислать всю необходимую информацию на почту и написать что необходимо выполнить. Я посмотрю описание к заданиям и напишу Вам стоимость и срок выполнения. Информацию нужно прислать на почту 3227505@mail.ru