Вид работы: Практика по получению первичных профессиональных знаний в ПАО УКБ «Новобанк»
Введение
Практика является неотъемлемой частью учебного процесса. Она обеспечивает углубление и закрепление теоретических знаний, получение конкретных практических навыков в работе по специальности, ознакомление с необходимым информационным материалом для уверенной работы на предприятии торговли в будущем, а также установление необходимых деловых контактов ВУЗа с предприятиями и организациями.
или напишите нам прямо сейчас:
⚠️ Пожалуйста, пишите в MAX или заполните форму выше.
В России Telegram и WhatsApp блокируют - сообщения могут не дойти.
Практика способствует приобретению умения применять полученные теоретические знания в условиях конкретной профессиональной деятельности, что способствует становлению специалиста, развивает способности аналитического и перспективного мышления.
Место прохождения практики: ПАО УКБ «Новобанк»
Основной целью прохождения практики является закрепление теоретических знаний и приобретение практических навыков.
Обеспечивать потребность каждого клиента, в том числе частного, корпоративного, государственного в банковских услугах высокого качества, обеспечивая надёжность и доходность вложенных средств, содействуя развитию экономики региона.
Краткая характеристика банка
АО УКБ «Новобанк» был образован в 1991 году на базе Областного управления Промстройбанка как самостоятельный региональный банк, и его миссия заключалась в том, чтобы направить свою активность на развитие Новгородской области и оказать помощь и поддержку региональной экономике. В создании Банка принимало участие более 130 предприятий Новгорода. За эти годы Банком пройден нелёгкий путь становления и развития. Критическим моментом в развитии стал 1998 год, который обострил назревшие к тому времени проблемы, связанные с управлением Банком, недобросовестностью партнёров, несовершенством российского законодательства, кардинальным переделом банковского рынка, сокращением возможности работать со многими финансовыми инструментами. Преодолеть кризис Банку помогла чётко выстроенная программа антикризисных мер, переход к сдержанной политике деятельности на банковском рынке. Решающее значение для Банка имела помощь одного из крупнейших предприятий Северо-Запада России — ОАО «Боровичский комбинат огнеупоров», которое в феврале 1999 года выкупило контрольный пакет акций Банка. Это сотрудничество оказалось весьма своевременным и успешным. В 1999 году Банк реализовал основные положения своей антикризисной программы и уже к маю 1999 года полностью погасил задолженность перед своими клиентами, восстановил платёжеспособность, обеспечил выполнение своих обязательных нормативов ликвидности, установленных Центральным Банком РФ.
Решение этих задач способствовало восстановлению и развитию бизнеса, осуществлению эффективных вложений новых ресурсов, разработке ряда новых услуг. Это позволило Банку закончить уже 1999 год с положительным финансовым результатом и динамично развиваться.
В настоящее время Банк предлагает широкий набор банковских услуг как для населения, так и клиентов — юридических лиц. Чёткое понимание рыночной конъюнктуры, готовность работать с новыми финансовыми продуктами в соответствии с потребностями клиентов сделали ОАО УКБ «Новобанк» достаточно прибыльной финансовой структурой.
Миссия банка обеспечивать потребность каждого клиента, в том числе частного, корпоративного, государственного в банковских услугах высокого качества, обеспечивая надёжность и доходность вложенных средств, содействуя развитию экономики региона.
Уставный капитал Банка по состоянию на 01.01.2017 г. составляет 230 млн. рублей.
Собственный капитал банка (рассчитанный по методике ЦБ РФ) на 01.01.2017 года составил 1 176 543 тыс. рублей.
Объявленный уставный капитал — 400 млн. рублей.
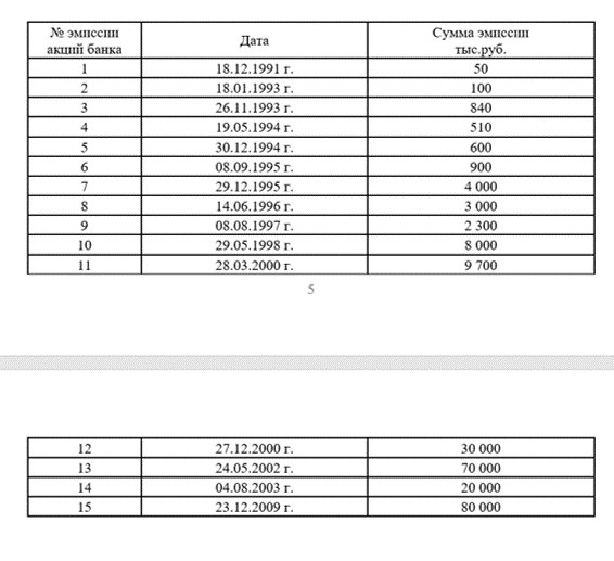
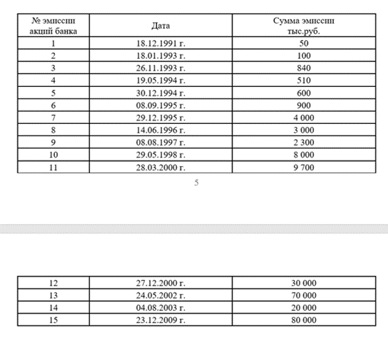
Хронология уставного капитала
ОАО УКБ «Новобанк» с первых дней создания активно оказывал спонсорскую и благотворительную помощь. Спонсорская деятельность Банка была направлена на поддержку национального достояния и культурного наследия Великого Новгорода, возрождение российской духовности. Приоритетным направлением благотворительности Банка являлось содействие деятельности в сфере образования, культуры, искусства, просвещения.
На протяжении ряда лет Великий Новгород в лице «Новобанка» получал поддержку в проведении большинства крупных культурных мероприятий. Банк финансировал праздник, посвящённый 250-летию со дня рождения великого русского поэта Г.Р. Державина, проведение ежегодного Международного фестиваля детской сказки профессиональных театров «Царь-Сказка», на протяжении ряда лет являлся спонсором проведения Международного детского фестиваля русской классической музыки им. С.В. Рахманинова, оказывал финансовую поддержку в проведении филармонических концертов для жителей города. При участии Банка создана первая Новгородская картинная галерея «Арт-Слобода». Приобретая ценные картины русских художников, Банк внёс определённый вклад в дело возвращения на родину произведений мастеров, сформировав собственную коллекцию из 70 произведений, таких художников как Васнецов, Поленов, Куинджи, Коровин и других.
Банк известен как спонсор многих программ, направленных на возрождение культурных и просветительских традиций древнего Новгорода. Значительные средства были направлены на восстановление памятников истории. В их числе — фрески уникальной церкви Спаса Преображения Ковалёва монастыря и Покровского собора.
Поддерживая начинания Администраций области и города, Банк в течение двух лет (1994-1995 гг.) выступал генеральным спонсором международного шахматного супертурнира «Господин Великий Новгород».
Банк оказывал безвозмездную помощь новгородской Епархии, образовательным учреждениям Великого Новгорода и области, выплачивая персональные стипендии одарённым детям. Так на протяжении многих лет стипендиатами Банка были более 50 человек. Основной статьёй расходов Банка на благотворительные цели на протяжении нескольких лет оставалась Первая Новгородская Университетская гимназия. Новобанк являлся её учредителем и постоянным спонсором. С 2003 года особо тесные отношения связывают Новобанк и гимназию «Эврика». Банк оказывает серьёзную помощь в проводимых ремонтных работах, в оснащении учёбных классов современным оборудованием.
Ряд интересных проектов реализовано с высшими образовательными учреждениями Великого Новгорода. Совместно с НовГУ им. Ярослава Мудрого в 2002 году проведена некоммерческая общеобразовательная акция «Вместе в XXI век». Для студентов экономических специальностей было организовано ряд конкурсов, победителям которых гарантировалось последующее трудоустройство в банке. Ежегодные «Дни открытых дверей», открытые лекции специалистов банка стали постоянной практикой, ставящей своей целью способствовать развитию финансово-экономического образования и подготовке высококлассных банковских специалистов.
Давние партнёрские отношения связывают «Новобанк» и муниципальное учреждение по работе с детьми, подростками и населением по месту жительства «Алые паруса». С 1992 года банк постоянно оказывает финансовую и иную помощь данному учреждению, в составе которого на сегодняшний день работает 292 детских объединения по различным видам деятельности и занимается более пяти тысяч человек.
Под опекой Банка находились и многие городские социальные программы. Оказывалась финансовая помощь Центру гармонического развития ребёнка, ветеранам войны и труда, городскому Центру социально-психологической помощи «Доверие» и многим другим новгородцам, которые обращались в Банка за помощью и поддержкой. Традиционно Банк принимает активное участие в ежегодном благотворительном марафоне «Рождественский подарок», проводимом по инициативе Администрации Новгородской области.
За вклад в общественную жизнь города Администрация Великого Новгорода дважды присваивала «Новобанку» звание «Спонсор года».
Прикрепленные файлы:
или напишите нам прямо сейчас:
⚠️ Пожалуйста, пишите в MAX или заполните форму выше.
В России Telegram и WhatsApp блокируют - сообщения могут не дойти.
Прикрепленные файлы: |
|
|---|---|
|
Администрация сайта не рекомендует использовать бесплатные работы для сдачи преподавателю. Эти работы могут не пройти проверку на уникальность. Узнайте стоимость уникальной работы, заполните форму ниже: Узнать стоимость |
|
Скачать файлы: |
|
|
|


